【药物名称】
化学结构式(Chemical Structure):
参考文献No.54394
标题:Antipicornaviral cpds. and compsns., their pharmaceutical uses, and material for their synthesis
作者:Dragovich, P.S.; Prins, T.J.; Zhou, R.; Johnson, T.O. Jr. (Agouron Pharmaceuticals, Inc.)
来源:JP 2003515591; US 2001047006; US 6514997; WO 0140189
合成路线图解说明:

Catalytic hydrogenation of 2-hydroxy-3-nitropyridine (I) in the presence of Pd/C affords 3-amino-2-hydroxypyridine (II). This is then acylated by 5-methylisoxazole-3-carbonyl chloride (III) to furnish the corresponding amide (IV). (1)

合成路线图解说明:

Deprotection of N-Boc-D-3,4-difluorophenylalanine (V) by means of HCl in dioxane yields aminoacid (VI). Subsequent diazotization of (VI) with NaNO2/H2SO4 leads to hydroxyacid (VII). After esterification of (VII) with methanolic HCl, the hydroxyester (VIII) is converted into triflate (IX) upon treatment with trifluoromethanesulfonic anhydride and 2,6-lutidine. Condensation of hydroxypyridine (IV) with triflate (IX) in the presence of NaH gives rise to the N-alkylated pyridone (X). The methyl ester group of (X) is then hydrolyzed to the corresponding carboxylic acid (XI) by means of either NaOH or LiI in pyridine. (1,2)

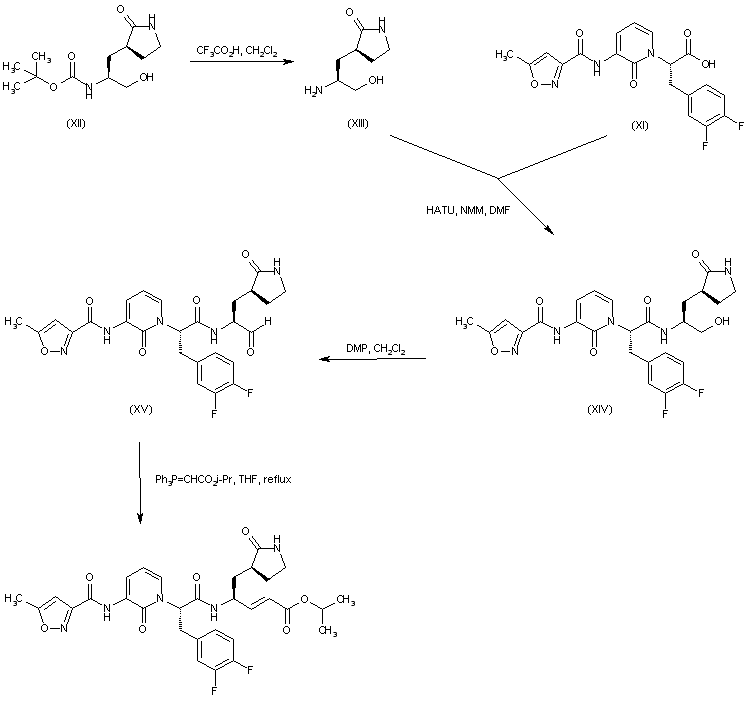
合成路线图解说明:

Treatment of the Boc-protected aminoalcohol (XII) with trifluoroacetic acid furnishes (XIII). This is then coupled with acid (XI) in the presence of HATU to afford the amide alcohol (XIV). Oxidation of (XIV) with the Dess-Martin periodinane (DMP) reagent gives rise to aldehyde (XV). Finally, Wittig condensation of aldehyde (XV) with isopropoxycarbonylmethylene triphenylphosphorane provides the target unsaturated ester. (1,2)

参考文献No.661639
标题:Structure-based design, synthesis, and biological evaluation of irreversible human rhinovirus 3C protease inhibitors: 6. Structure-activity studies of orally bioavailable, 2-pyridone-containing peptidomimetics
作者:Dragovich, P.S.; Prins, T.J.; Zhou, R.; Brown, E.L.; Maldonado, F.C.; Fuhrman, S.A.; Zalman, L.S.; Tuntland, T.; Lee, C.A.; Patick, A.K.; Matthews, D.A.; Hendrickson, T.F.; Kosa, M.B.; Liu, B.; Batugo, M.R.; Gleeson, J.-P.R.; Sakata, S.K.; et al.
来源:J Med Chem 2002,45(8),1607
合成路线图解说明:

Deprotection of N-Boc-D-3,4-difluorophenylalanine (V) by means of HCl in dioxane yields aminoacid (VI). Subsequent diazotization of (VI) with NaNO2/H2SO4 leads to hydroxyacid (VII). After esterification of (VII) with methanolic HCl, the hydroxyester (VIII) is converted into triflate (IX) upon treatment with trifluoromethanesulfonic anhydride and 2,6-lutidine. Condensation of hydroxypyridine (IV) with triflate (IX) in the presence of NaH gives rise to the N-alkylated pyridone (X). The methyl ester group of (X) is then hydrolyzed to the corresponding carboxylic acid (XI) by means of either NaOH or LiI in pyridine. (1,2)

合成路线图解说明:

Treatment of the Boc-protected aminoalcohol (XII) with trifluoroacetic acid furnishes (XIII). This is then coupled with acid (XI) in the presence of HATU to afford the amide alcohol (XIV). Oxidation of (XIV) with the Dess-Martin periodinane (DMP) reagent gives rise to aldehyde (XV). Finally, Wittig condensation of aldehyde (XV) with isopropoxycarbonylmethylene triphenylphosphorane provides the target unsaturated ester. (1,2)

Drug Information Express,Drug R&D,Chemical Database,Patent Search.
Copyright © 2006-2026 Drug Future. All rights reserved.Contact Us