【药物名称】
化学结构式(Chemical Structure):
参考文献No.661648
标题:Potent, orally active heterocycle-based combretastatin A-4 analogues: Synthesis, structure-activity relationship, pharmacokinetics, and in vivo antitumor activity evaluation
作者:Wang, L.; Woods, K.W.; Li, Q.; Barr, K.J.; McCroskey, R.M.; Hannick, S.M.; Gherke, L.; Credo, R.B.; Hui, Y.H.; Marsch, K.; Warner, R.; Lee, J.Y.; Zielinski-Mozng, N.; Frost, D.; Rosenberg, S.H.; Sham, H.L.
来源:J Med Chem 2002,45(8),1697
合成路线图解说明:

The condensation between 3,4,5-trimethoxybenzaldehyde (I), 4-methylbenzenesulfinic acid (II) and formamide in the presence of camphorsulfonic acid gave tosyl-(3,4,5-trimethoxyphenyl)methylformamide (III), which was subsequently dehydrated to the isonitrile (IV) by treatment with POCl3 and Et3N. After conversion of 4-methoxy-3-nitrobenzaldehyde (V) to the corresponding imine with methylamine, its reaction with the tosylmethyl isonitrile (IV) gave rise to the diaryl imidazole (VI). The nitro group of (VI) was finally reduced to amine by using SnCl2 and HCl or ammonium formiate and Pd/C

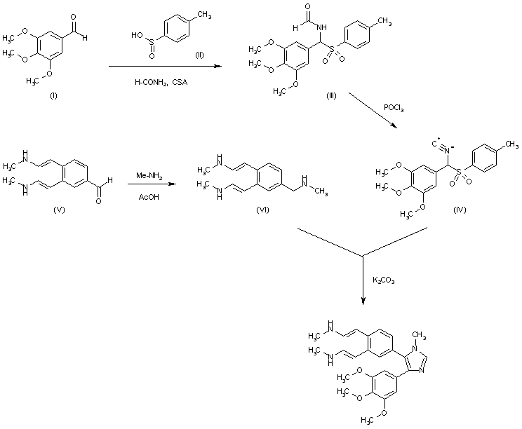
合成路线图解说明:

The condensation of 3,4,5-trimethoxybenzaldehyde (I) with 4-methylphenylsulfinic acid (II) and formamide by means of hot CSA gives the adduct (III), which is treated with POCl3 in DME to yield the isonitrile (IV). The reaction of benzaldehyde (V) with methylamine and AcOH in refluxing ethanol gives the enamine (VI), which is finally cyclized with isonitrile (IV) by means of K2CO3 in ethanol/DME to afford the target 1-methylimidazole.

Drug Information Express,Drug R&D,Chemical Database,Patent Search.
Copyright © 2006-2026 Drug Future. All rights reserved.Contact Us