【药物名称】BL-3875
化学结构式(Chemical Structure):
参考文献No.54309
标题:Pyrrolidine derivs. and their use as chymase inhibitor
作者:Sato, F.; Showell, G.A.; Fujitani, B.; Deguchi, T.; Honda, Y.; Shiratake, R.; Kiyoshi, A.; Notake, M.; Boyle, R.G.; Klair, S.S. (Dainippon Pharmaceutical Co., Ltd.)
来源:WO 0218378
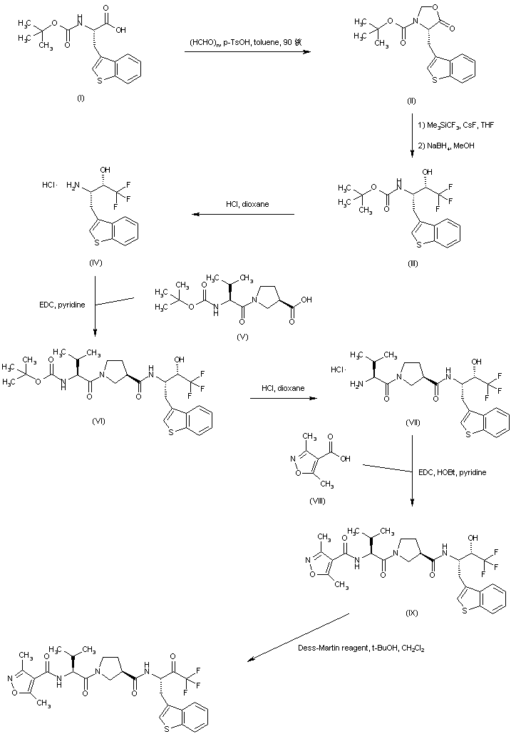
合成路线图解说明:

N-Boc-Benzothienylalanine (I) was converted to oxazolidinone (II) by treatment with paraformaldehyde in the presence of p-toluenesulfonic acid. Reaction of oxazolidinone (II) with trimethyl(trifluoromethyl)silane produced the corresponding trifluoromethyl ketone, which was subsequently reduced to alcohol (III) by using NaBH4 in MeOH (1). Cleavage of the N-Boc group of (III) under acidic conditions afforded amine (IV). This was then coupled with N-Boc-L-valyl-L-proline (V) using EDC to furnish the N-Boc-tripeptidyl alcohol (VI). Deprotection of (VI) by means of HCl in dioxane gave amine (VII), which was acylated with 3,5-dimethylisoxazole-4-carboxylic acid (VIII) to yield amide (IX). Finally, oxidation of the alcohol function of (IX) employing the Dess-Martin periodinane reagent provided the target trifluoromethyl ketone

合成路线图解说明:

N-Boc-Benzothienylalanine (I) was converted to oxazolidinone (II) by treatment with paraformaldehyde in the presence of p-toluenesulfonic acid. Reaction of oxazolidinone (II) with trimethyl(trifluoromethyl)silane produced the corresponding trifluoromethyl ketone, which was subsequently reduced to alcohol (III) by using NaBH4 in MeOH (1). Cleavage of the N-Boc group of (III) under acidic conditions afforded amine (IV). This was then coupled with N-Boc-L-valyl-L-proline (V) using EDC to furnish the N-Boc-tripeptidyl alcohol (VI). Deprotection of (VI) by means of HCl in dioxane gave amine (VII), which was acylated with 4-methyl-1,2,3-thiadiazole-5-carboxylic acid (VIII) to yield amide (IX). Finally, oxidation of the alcohol function of (IX) employing the Dess-Martin periodinane reagent provided the target trifluoromethyl ketone.

参考文献No.661997
标题:Synthesis and structure-activity relationships of a novel peptidyl trifluoromethyl ketone inhibitor of human chymase
作者:Deguchi, T.; Shiratake, R.; Sato, F.; Fujitani, B.; Kiyoshi, A.; Honda, Y.; Notake, M.
来源:223rd ACS Natl Meet (April 7 2002, Orlando) 2002,Abst MEDI 61
合成路线图解说明:

N-Boc-Benzothienylalanine (I) was converted to oxazolidinone (II) by treatment with paraformaldehyde in the presence of p-toluenesulfonic acid. Reaction of oxazolidinone (II) with trimethyl(trifluoromethyl)silane produced the corresponding trifluoromethyl ketone, which was subsequently reduced to alcohol (III) by using NaBH4 in MeOH (1). Cleavage of the N-Boc group of (III) under acidic conditions afforded amine (IV). This was then coupled with N-Boc-L-valyl-L-proline (V) using EDC to furnish the N-Boc-tripeptidyl alcohol (VI). Deprotection of (VI) by means of HCl in dioxane gave amine (VII), which was acylated with 3,5-dimethylisoxazole-4-carboxylic acid (VIII) to yield amide (IX). Finally, oxidation of the alcohol function of (IX) employing the Dess-Martin periodinane reagent provided the target trifluoromethyl ketone

合成路线图解说明:

N-Boc-Benzothienylalanine (I) was converted to oxazolidinone (II) by treatment with paraformaldehyde in the presence of p-toluenesulfonic acid. Reaction of oxazolidinone (II) with trimethyl(trifluoromethyl)silane produced the corresponding trifluoromethyl ketone, which was subsequently reduced to alcohol (III) by using NaBH4 in MeOH (1). Cleavage of the N-Boc group of (III) under acidic conditions afforded amine (IV). This was then coupled with N-Boc-L-valyl-L-proline (V) using EDC to furnish the N-Boc-tripeptidyl alcohol (VI). Deprotection of (VI) by means of HCl in dioxane gave amine (VII), which was acylated with 4-methyl-1,2,3-thiadiazole-5-carboxylic acid (VIII) to yield amide (IX). Finally, oxidation of the alcohol function of (IX) employing the Dess-Martin periodinane reagent provided the target trifluoromethyl ketone.

Drug Information Express,Drug R&D,Chemical Database,Patent Search.
Copyright © 2006-2026 Drug Future. All rights reserved.Contact Us