【药物名称】GW-3965
化学结构式(Chemical Structure):
参考文献No.54870
标题:Chemical cpds.
作者:Willson, T.M.; Collins, J.L.; Maloney, P.R.; Fivush, A.M.; Stewart, E.L. (GlaxoSmithKline plc)
来源:WO 0224632
合成路线图解说明:

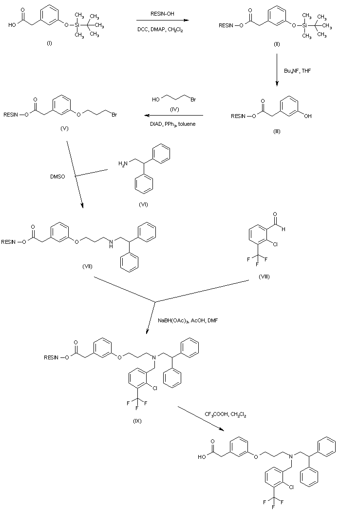
The title compound was prepared by solid-phase synthesis on a Sasrin resin. The silylated m-hydroxyphenylacetic acid (I) was attached to the resin using DCC and DMAP to yield the acid-bound resin (II). The silyl group of (II) was then removed by treatment of resin (II) with tetrabutylammonium fluoride in THF. The resultant phenol (III) was coupled to 3-bromo-1-propanol (IV) under Mitsunobu conditions to afford the bromide functionalized resin (V). Displacement of the bromide ion of (V) with 2,2-diphenylethylamine (VI) furnished the secondary amine (VII), which was subjected to reductive alkylation with aldehyde (VIII) in the presence of NaBH(OAc)3 to produce the resin-bound product (IX). Cleavage from the solid support employing trifluoroacetic acid in CH2Cl2 provided the target carboxylic acid.

合成路线图解说明:

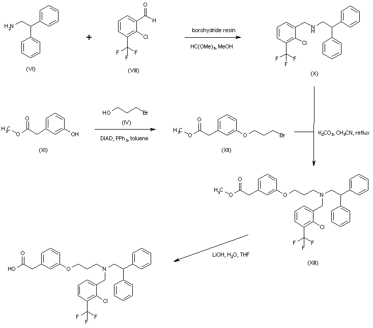
In a solution-phase synthesis, 2,2-diphenylethylamine (VI) was reductively condensed with 2-chloro-3-(trifluoromethyl)benzaldehyde (VIII) using a polymer-supported borohydride resin to give the secondary amine (X). Mitsunobu coupling of methyl 3-hydroxyphenylacetate (XI) with 3-bromo-1-propanol (IV) afforded the bromopropyl ether (XII). Condensation of bromide (XII) with amine (X) in refluxing acetonitrile furnished amino ester (XIII). This was finally hydrolyzed with LiOH to the title carboxylic acid.

参考文献No.667045
标题:Identification of a nonsteroidal liver X receptor agonist through parallel array synthesis of tertiary amines
作者:Collins, J.L.; Fivush, A.M.; Watson, M.A.; Galardi, C.M.; Lewis, M.C.; Moore, L.B.; Parks, D.J.; Wilson, J.G.; Tippin, T.K.; Binz, J.G.; Plunket, K.D.; Morgan, D.G.; Beaudet, E.J.; Whitney, K.D.; Kliewer, S.A.; Willson, T.M.
来源:J Med Chem 2002,45(10),1963
合成路线图解说明:

The title compound was prepared by solid-phase synthesis on a Sasrin resin. The silylated m-hydroxyphenylacetic acid (I) was attached to the resin using DCC and DMAP to yield the acid-bound resin (II). The silyl group of (II) was then removed by treatment of resin (II) with tetrabutylammonium fluoride in THF. The resultant phenol (III) was coupled to 3-bromo-1-propanol (IV) under Mitsunobu conditions to afford the bromide functionalized resin (V). Displacement of the bromide ion of (V) with 2,2-diphenylethylamine (VI) furnished the secondary amine (VII), which was subjected to reductive alkylation with aldehyde (VIII) in the presence of NaBH(OAc)3 to produce the resin-bound product (IX). Cleavage from the solid support employing trifluoroacetic acid in CH2Cl2 provided the target carboxylic acid.

Drug Information Express,Drug R&D,Chemical Database,Patent Search.
Copyright © 2006-2026 Drug Future. All rights reserved.Contact Us