【药物名称】LG-101506
化学结构式(Chemical Structure):
参考文献No.48323
标题:RXR modulators with improved pharmacologic profile
作者:Jones, T.K.; Ardecky, R.J.; Boehm, M.F.; Hamann, L.G.; Thompson, A.J.; Michellys, P.-Y.; Tyhonas, J.S.; Faulkner, A.L.; Mapes, C.M.; Chen, J.-H. (Ligand Pharmaceuticals, Inc.)
来源:EP 1216221; WO 0119770
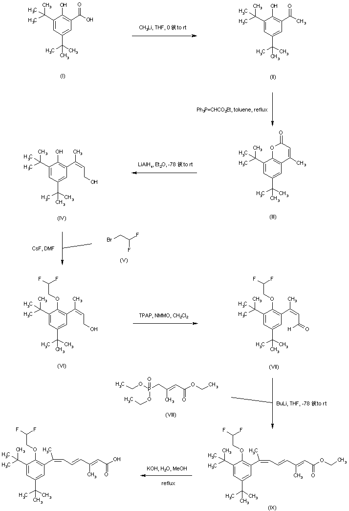
合成路线图解说明:

Addition of methyllithium to 3,5-di-tert-butylsalicylic acid (I) affords ketone (II). Wittig condensation of the ortho-hydroxyacetophenone (II) with (carbethoxymethylene)triphenylphosphorane leads to the coumarin derivative (III). Subsequent reductive opening of the lactone ring of (III) by means of LiAlH4 provides diol (IV). The phenolic hydroxyl of (IV) is then alkylated by 1,1-difluoro-2-bromoethane (V) in the presence of CsF to furnish the difluoroethyl ether (VI). Oxidation of the allylic alcohol function of (VI) to aldehyde (VII) is accomplished by treatment with tetrapropylammonium perruthenate and N-methylmorpholine-N-oxide. Wadsworth-Emmons condensation of the unsaturated aldehyde (VII) with phosphonate (VIII) then provides the triene adduct (IX). The ethyl ester group of (IX) is finally hydrolyzed under alkaline conditions to the desired carboxylic acid.

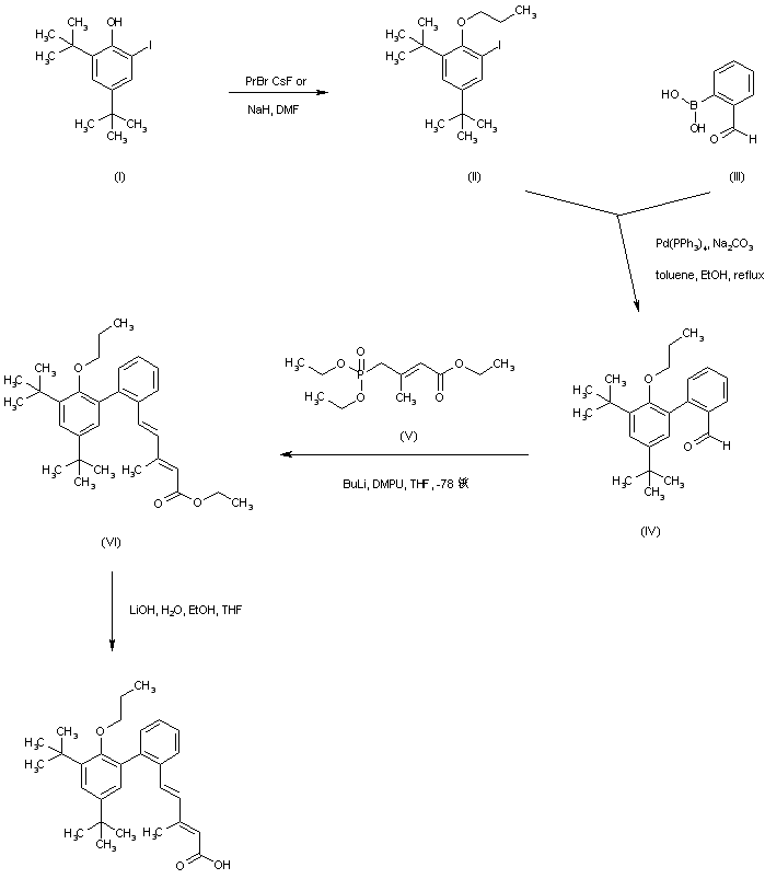
合成路线图解说明:

Alkylation of 2,4-di-tert-butyl-6-iodophenol (I) with bromopropane by means of NaH (1) or CsF (2) provides the corresponding propyl ether (II). Subsequent Suzuki coupling of aryl iodide (II) with 2-formylbenzeneboronic acid (III) leads to the biphenyl aldehyde (IV). This is then condensed with phosphonate (V) producing the dienoate ester (VI). Finally, the ethyl ester group of (VI) is hydrolyzed with LiOH to the target carboxylic acid (1,2).

Drug Information Express,Drug R&D,Chemical Database,Patent Search.
Copyright © 2006-2026 Drug Future. All rights reserved.Contact Us