【药物名称】
化学结构式(Chemical Structure):
参考文献No.38275
标题:Polyol-amino acid cpds. having anti-Helicobacter pylori activity
作者:Akiyama, Y.; Nakano, Y.; Tsubotani, S.; Izawa, M.; Nakao, M.; Miyagawa, K.; Kamiyama, K.; Nishikimi, Y. (Takeda Chemical Industries, Ltd.)
来源:EP 0998488; JP 1999080109; WO 9902549
合成路线图解说明:

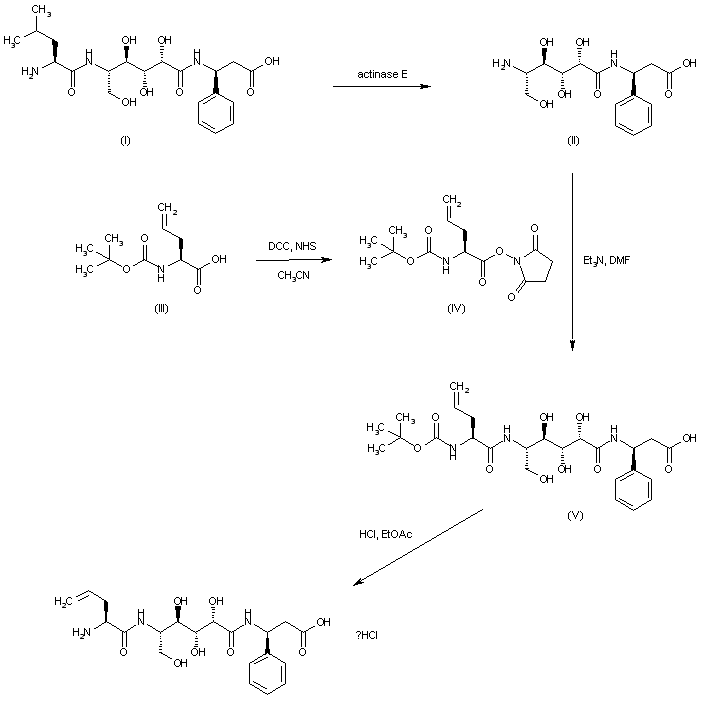
Pyloricidin C (I) is isolated from the fermentation broth of Bacillus sp. HC-70. Enzymatic hydrolysis of the N-terminal leucyl moiety of (I) by the action of actinase E leads to dipeptide (II). N-Boc-(S)-2-amino-4-pentenoic acid (III) is activated as the corresponding succinimidyl ester (IV) upon treatment with N hydroxysuccinimide and DCC. Then, coupling of dipeptide (II) with the active ester (IV) furnishes the tripeptide derivative (V). Finally, the N-Boc protecting group of (V) is removed by treatment with HCl in EtOAc to yield the title compound.

参考文献No.666543
标题:Synthesis and anti-Helicobacter pylori activity of pyloricidin derivatives. I. Structure-activity relationships on the terminal peptidic moiety
作者:Hasuoka, A.; Nishikimi, Y.; Nakayama, Y.; Kamiyama, K.; Nakao, M.; Miyagawa, K-I.; Nishimura, O.; Fujino, M.
来源:J Antibiot 2002,55(3),322
合成路线图解说明:

Pyloricidin C (I) is isolated from the fermentation broth of Bacillus sp. HC-70. Enzymatic hydrolysis of the N-terminal leucyl moiety of (I) by the action of actinase E leads to dipeptide (II). N-Boc-(S)-2-amino-4-pentenoic acid (III) is activated as the corresponding succinimidyl ester (IV) upon treatment with N hydroxysuccinimide and DCC. Then, coupling of dipeptide (II) with the active ester (IV) furnishes the tripeptide derivative (V). Finally, the N-Boc protecting group of (V) is removed by treatment with HCl in EtOAc to yield the title compound.

Drug Information Express,Drug R&D,Chemical Database,Patent Search.
Copyright © 2006-2026 Drug Future. All rights reserved.Contact Us