【药物名称】A-289099
化学结构式(Chemical Structure):
参考文献No.660572
标题:Synthesis and biological evaluation of 2-indolyloxazolines as a new class of tubulin polymerization inhibitors. Discovery of A-289099 as an orally active antitumor agent
作者:Li, Q.; Woods, K.W.; Claiborne, A.; Gwaltney, S.L. II; Barr, K.J.; Liu, G.; Gehrke, L.; Credo, R.B.; Hui, Y.H.; Lee, J.; Warner, R.B.; Kovar, P.; Nukkala, M.A.; Zielinski, N.A.; Tahir, S.K.; Fitzgerald, M.; Kim, K.H.; Marsh, K.; Frost, D.; et al.
来源:Bioorg Med Chem Lett 2002,12(3),465
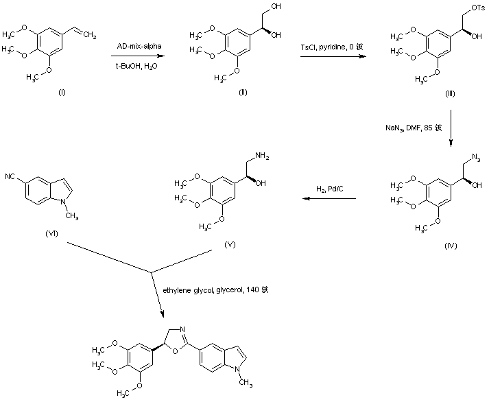
合成路线图解说明:

Enantioselective dihydroxylation of styrene (I) using AD-mix-alpha gave the (S)-diol (II). Tosylation of the primary hydroxyl group of (II), followed by nucleophilic displacement of the tosylate (III) with NaN3, provided azido alcohol (IV). The azido group of (IV) was then reduced to the corresponding amine (V) by catalytic hydrogenation in the presence of Pd/C. Finally, condensation of the chiral amino alcohol (V) with 1-methyl-5-cyanoindole (VI) in a hot mixture of ethylene glycol and glycerol yielded the target diaryl oxazolidine.

Drug Information Express,Drug R&D,Chemical Database,Patent Search.
Copyright © 2006-2026 Drug Future. All rights reserved.Contact Us