【药物名称】CHIR-200131
化学结构式(Chemical Structure):
参考文献No.54642
标题:Quinolinone derivs.
作者:Harris, A.; Renhowe, P.; Machajewski, T.; Shafer, C.; Wernette-Hammond, M.-E.; Pecchi, S.; Taylor, C.; McCrea, B.; McBride, C.; Jazan, E. (Chiron Corp.)
来源:WO 0222598
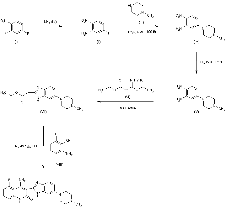
合成路线图解说明:

The cyclization of the phenylenediamine (I) with 3-ethoxy-3-iminopropionic acid ethyl ester (II) in refluxing ethanol gives the 2-(benzimidazol-2-yl)acetate (III), which is submitted to a new cyclization with 2-aminobenzonitrile (IV) by means of LiHMDS in THF to afford the target quinolinone.

合成路线图解说明:

Reaction of 2,4-difluoronitrobenzene (I) with liquid ammonia gives rise to 5-fluoro-2-nitroaniline (II). Subsequent displacement of the remaining fluoride group of (II) with N-methylpiperazine (III) provides the piperazinyl aniline (IV). Catalytic hydrogenation of nitroaniline (IV) over Pd/C yields the phenylenediamine (V). This is then condensed with ethyl 3-ethoxy-3-iminopropanoate (VI) to produce benzimidazole (VII). Finally, reaction of the lithium enolate of benzimidazoleacetate (VII) with 2-amino-6-fluorobenzonitrile (VIII) furnishes the title quinolinone compound. (1,2)

Drug Information Express,Drug R&D,Chemical Database,Patent Search.
Copyright © 2006-2026 Drug Future. All rights reserved.Contact Us