【药物名称】NNC-52-1246
化学结构式(Chemical Structure):
参考文献No.53358
标题:Modulators of protein tyrosine phosphatases (PTPases)
作者:Lau, J.; Andersen, H.S.; Newman, M.J.; Hansen, T.K.; Olsen, O.H.; Bakir, F.; Holsworth, D.D.; Axe, F.U.; Ge, Y.; Uyeda, R.T.; Judge, L.M.; Moeller, N.P.H.; Shapira, B.Z. (Novo Nordisk A/S; Ontogen Corp.)
来源:WO 0204459
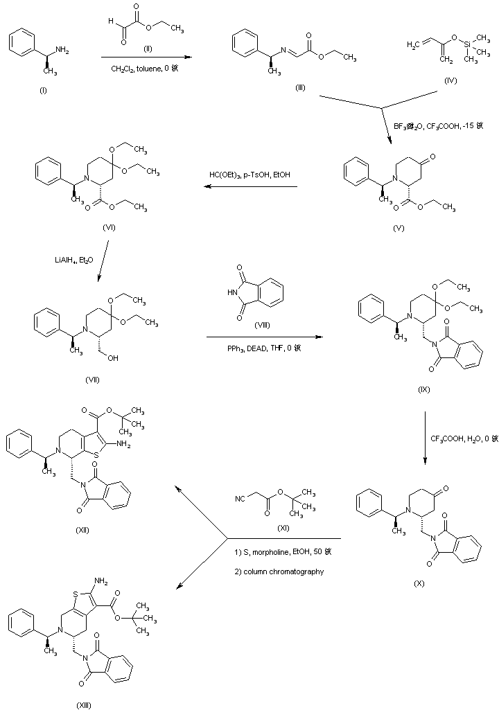
合成路线图解说明:

Condensation between (S)-alpha-methylbenzylamine (I) and ethyl glyoxylate (II) afforded imine (III), which was subjected to hetero-Diels-Alder cycloaddition with 2-(trimethylsilyloxy)-1,3-butadiene (IV) producing piperidinecarboxylate (V) as the major diastereoisomer. Ketalization of (V) with triethyl orthoformate gave the corresponding the diethyl acetal (VI). The ester group of (VI) was then reduced to alcohol (VII) employing LiAlH4. Mitsunobu condensation of alcohol (VII) with phthalimide (VIII) gave (IX) which, followed by acidic ketal hydrolysis, furnished (X). Condensation of piperidinone (X) with t-butyl cyanoacetate (XI) in the presence of sulfur and morpholine gave rise to two regioisomeric thienopyridine derivatives (XII) and (XIII), which were separated by column chromatography.

合成路线图解说明:

The desired minor isomer (XII) was subjected to hydrazinolysis to provide amine (XIV). Selective acylation at the aliphatic amino group of (XIV) with 5-hydroxyindole-2-carboxylic acid (XV) in the presence of EDC as the coupling reagent furnished amide (XVI). The remaining primary amino group of (XVI) was subsequently acylated by the oxalyl imidazolide (XVII) producing oxalamide (XVIII). The chiral auxiliary alpha-methylbenzyl group of (XVIII) was then removed by transfer hydrogenolysis with formic acid and Pd/C, producing the secondary amine (XIX). Finally, tert-butyl esters cleavage in (XIX) was accomplished by treatment with trifluoroacetic acid to yield the corresponding dicarboxylic acid.

Drug Information Express,Drug R&D,Chemical Database,Patent Search.
Copyright © 2006-2026 Drug Future. All rights reserved.Contact Us