【药物名称】NNC-52-0956
化学结构式(Chemical Structure):
参考文献No.40534
标题:Modulators of protein tyrosine phosphatases
作者:Jones, T.K.; Jeppesen, L.; Ripka, W.C.; Andersen, H.S.; Olsen, O.H.; Bakir, F.; Branner, S.; Moller, N.P.H.; Jeppesen, C.B.; Richter, L.S.; Vagner, J.; Iversen, L.F.; Holsworth, D.D.; Axe, F.U.; Ge, Y.; et al. (Novo Nordisk A/S; Ontogen Corp.)
来源:WO 9946237
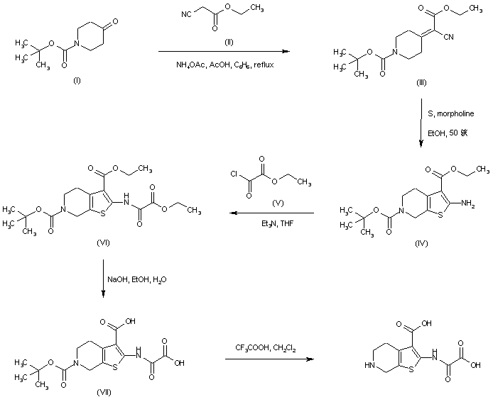
合成路线图解说明:

Knoevenagel condensation between N-Boc-4-piperidinone (I) and ethyl cyanoacetate (II) produced the piperidinylidene cyanoacetate (III), which was further converted to the thienopyridine derivative (IV) upon treatment with sulfur and morpholine. Acylation of amine (IV) with ethyl oxalyl chloride (V) furnished the oxalamide (VI). Subsequent hydrolysis of the ester groups of (VI) under basic conditions led to diacid (VII). The title compound was finally obtained by trifluoroacetic acid-promoted Boc group cleavage.

参考文献No.54388
标题:Modulators of protein tyrosine phosphatases (PTPases)
作者:Jones, T.K.; Ripka, W.C.; Andersen, H.S.; Olsen, O.H.; Bakir, F.; Branner, S.; Iversen, L.F.; Holsworth, D.D.; Axe, F.U.; Ge, Y.; Uyeda, R.T.; Judge, L.M.; Moeller, N.P.H. (Novo Nordisk A/S; Ontogen Corp.)
来源:JP 2002506072; US 6410586; WO 9946267
合成路线图解说明:

Knoevenagel condensation between N-Boc-4-piperidinone (I) and ethyl cyanoacetate (II) produced the piperidinylidene cyanoacetate (III), which was further converted to the thienopyridine derivative (IV) upon treatment with sulfur and morpholine. Acylation of amine (IV) with ethyl oxalyl chloride (V) furnished the oxalamide (VI). Subsequent hydrolysis of the ester groups of (VI) under basic conditions led to diacid (VII). The title compound was finally obtained by trifluoroacetic acid-promoted Boc group cleavage.

Drug Information Express,Drug R&D,Chemical Database,Patent Search.
Copyright © 2006-2026 Drug Future. All rights reserved.Contact Us