【药物名称】
化学结构式(Chemical Structure):
参考文献No.55297
标题:Process for preparing quaternary ammonium cpds.
作者:Rutzen, H. (Henkel KgA)
来源:DE 3136628; EP 0075066; JP 1983046043; US 4480126
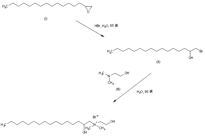
合成路线图解说明:

Treatment of 1,2-epoxyhexadecane (I) with concentrated HBr at 65 C gives rise to bromohydrin (II). This is then condensed with N,N-dimethyl ethanolamine (III) to produce the title ammonium salt.

参考文献No.653736
标题:Spermicidal, anti-HIV, and micellar properties of di- and trihydroxylated cationic surfactants
作者:Wong, Y.-L.; et al.
来源:Tetrahedron 2002,58(1),45
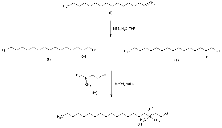
合成路线图解说明:

In a related procedure, halogenation of 1-hexadecene (I) with N-bromosuccinimide in THF/H2O leads to a mixture of regioisomeric bromohydrins (II) and (III). Refluxing of this mixture of bromohydrins with N,N-dimethyl ethanolamine (IV) in MeOH gives rise to the title ammonium salt as the only isomer.

Drug Information Express,Drug R&D,Chemical Database,Patent Search.
Copyright © 2006-2026 Drug Future. All rights reserved.Contact Us