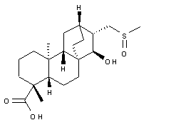
【药物名称】Serofendic acid
化学结构式(Chemical Structure):
参考文献No.660514
标题:Isolation of a diterpenoid substance with potent neuroprotective activity from fetal calf serum
作者:Kume, T.; Asai, N.; Nishikawa, H.; Mano, N.; Terauchi, T.; Taguchi, R.; Shirakawa, H.; Osakada, F.; Mori, H.; Asakawa, N.; Yonaga, M.; Nishizawa, Y.; Sugimoto, H.; Shimohama, S.; Katsuki, H.; Kaneko, S.; Akaike, A.
来源:Proc Natl Acad Sci USA 2002,99(5),3288
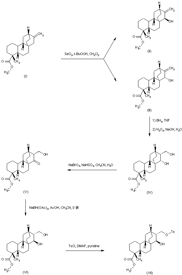
合成路线图解说明:

Serofendic acid has been synthesized starting from the known intermediate (I). Allylic oxidation of exo-olefin (I) with SeO2 yields a mixture of alcohols (II) and (III). Hydroboration of isomer (III), followed by oxidative work-up, gives rise to the target syn-diastereoisomer (IV). Inversion of the C15-hydroxyl group in (IV) is then achieved by selective oxidation of the secondary alcohol with NaBrO3/NaHSO3, followed by NaBH(OAc)3 reduction of the resultant ketone (V) to produce diol (VI). Tosylation of diol (VI) takes place at the primary alcohol group, to furnish tosylate (VII).

合成路线图解说明:

Displacement of tosylate (VII) with sodium methylsulfide, and simultaneous ester group hydrolysis leads to sulfide (VIII). This is finally oxidized to the corresponding sulfoxide employing Davis oxaziridine.

Drug Information Express,Drug R&D,Chemical Database,Patent Search.
Copyright © 2006-2026 Drug Future. All rights reserved.Contact Us