【药物名称】
化学结构式(Chemical Structure):
参考文献No.54612
标题:5'-Deoxy-N-(substd. oxycarbonyl)-5-fluorocytosine and derivs. thereof, method of preparing same, and anticancer compsn. comprising same as active ingredients
作者:Lee, K.-H.; Kim, J.-Y.; Kim, Y.-C.; Kim, K.-H.; Park, H.-J.; Noh, M.-J.; Park, Y.-S.; Cho, S.-M. (Kolon Industries, Inc.)
来源:WO 0211668
合成路线图解说明:

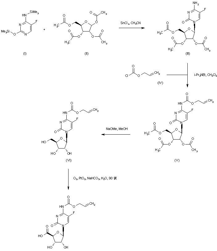
The silylated 5-fluorocytosine (I) is coupled with D-ribofuranose tetraacetate (II) in the presence of SnCl4 in acetonitrile to afford the triacetyl 5-fluorocytidine (III). Acylation of (III) with allyl chloroformate (IV) yields carbamate (V). Then, methanolysis of the acetate ester groups of (V) provides 5-fluoro-N-(allyloxycarbonyl)cytidine (VI). Finally, selective oxidation of the primary alcohol group of (VI) with oxygen and PtO2 gives the target carboxylic acid

参考文献No.660574
标题:Synthesis and biological activity of the new 5-fluorocytosine derivatives, 5'-deoxy-N-alkyloxycarbonyl-5-fluorocytosine-5'-carboxylic acid
作者:Kim, K.-H.; Kim, J.-Y.; Lee, K.-H.; Noh, M.-J.; Kim, Y.-C.; Park, H.-J.
来源:Bioorg Med Chem Lett 2002,12(3),483
合成路线图解说明:

The silylated 5-fluorocytosine (I) is coupled with D-ribofuranose tetraacetate (II) in the presence of SnCl4 in acetonitrile to afford the triacetyl 5-fluorocytidine (III). Acylation of (III) with allyl chloroformate (IV) yields carbamate (V). Then, methanolysis of the acetate ester groups of (V) provides 5-fluoro-N-(allyloxycarbonyl)cytidine (VI). Finally, selective oxidation of the primary alcohol group of (VI) with oxygen and PtO2 gives the target carboxylic acid

Drug Information Express,Drug R&D,Chemical Database,Patent Search.
Copyright © 2006-2026 Drug Future. All rights reserved.Contact Us