| 参考文献No. | 38107 |
| 标题: | Triazolo-1,4-diazepine cpds. and medicinal compsn. containing the same |
| 作者: | Sano, T.; Seki, T.; Fujita, M.; Inada, H. (Nikken Chemicals Co., Ltd.) |
| 来源: | EP 0995752; JP 1999071378; US 6433167; WO 9858930 |
 |
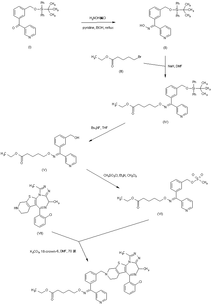
| 合成路线图解说明: Ketone (I) was converted to the corresponding oxime (II) by treatment with hydroxylamine hydrochloride and pyridine. Subsequent alkylation of the oxime (II) with ethyl 5-bromovalerate (III) in the presence of NaH provided (IV). After desilylation of (IV) by means of tetrabutylammonium fluoride, the liberated alcohol (V) was converted to mesylate (VI). The title compound was then obtained by condensation of mesylate (VI) with the pyridothienotriazolodiazepine derivative (VII). |
 |
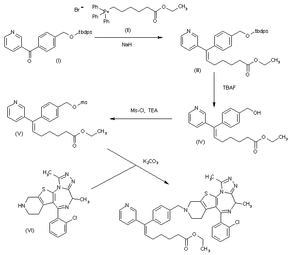
| 合成路线图解说明: The Wittig condensation of 1-[4-(tert-butyldiphenylsilyloxymethyl)phenyl]-1-(3-pyridyl)methanone (I) with phosphonium bromide (II) by means of NaH in tert-butanol gives the heptenoic ester (III), which is desilylated with TBAF in THF to yield 7-[4-(hydroxymethyl)phenyl]-7-(3-pyridyl)-6-heptenoic acid ethyl ester (IV). The reaction of (IV) with Ms-Cl and TEA affords the corresponding mesylate (V), which is finally condensed with the triazolodiazepine (VI) by means of K2CO3 and 18-crown-6 in DMF. |
 |
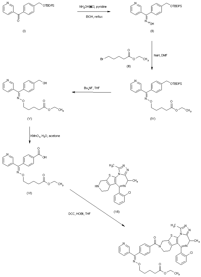
| 合成路线图解说明: Treatment of 4-(t-butyldiphenylsilyloxymethyl)phenyl-(3-pyridyl)ketone (I) with hydroxylamine hydrochloride in pyridine affords oxime (II) as a mixture of geometric isomers. Then, alkylation of oxime (II) with ethyl 5-bromovalerate (III) in the presence of NaH provides ester (IV). After desilylation of (IV) with tetrabutylammonium fluoride, the deprotected primary alcohol (V) is oxidized by KMnO4 to furnish carboxylic acid (VI). Finally, DCC-mediated coupling of acid (VI) with the known tetracyclic precursor (VII) gives rise to the corresponding amide. |