【药物名称】KCL-1999000269
化学结构式(Chemical Structure):
参考文献No.660564
标题:Enantio-dependent binding and transactivation of optically active phenylpropanoic acid derivatives at human peroxisome proliferator-activated receptor alpha
作者:Miyachi, H.; Nomura, M.; Tanase, T.; Suzuki, M.; Murakami, K.; Awano, K.
来源:Bioorg Med Chem Lett 2002,12(3),333
合成路线图解说明:

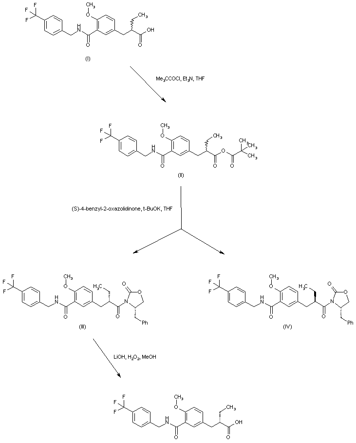
The title enantiomer has been obtained by resolution of the racemic acid (I). Acid (I) is activated as the mixed anhydride (II) with pivalic acid and triethylamine. Subsequent coupling of anhydride (II) with the potassium anion of (S)-4-benzyl-2-oxazolidinone leads to a mixture of the diastereoisomeric imides (III) and (IV), which can be separated by column chromatography and recrystallization. Then, removal of the chiral auxiliary from the target isomer (III) by hydrolysis with lithium peroxide furnishes the desired (S)-enantiomer.

参考文献No.702326
标题:Efficient asymmetric synthesis of (S)-2-ethylphenylpropanoic acid derivative, a selective agonist for human peroxisome proliferator-activated receptor alpha
作者:Nomura, M.; Tanase, T.; Miyachi, H.
来源:Bioorg Med Chem Lett 2002,12(16),2101
合成路线图解说明:

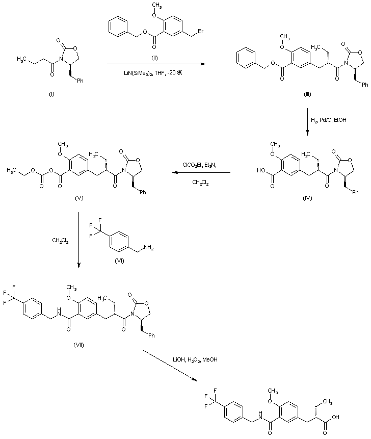
In an enantioselective synthesis of the (S)-enantiomer, asymmetric alkylation of the chiral N-butyryl oxazolidinone (I) with benzyl 5-bromomethyl-2-methoxybenzoate (II) in the presence of lithium hexamethyldisilazide leads to isomer (III) in high diastereomeric excess. Subsequent benzyl ester hydrogenolysis in (III) employing Pd/C affords carboxylic acid (IV), which is further converted to the mixed anhydride (V) with ethyl chloroformate and triethylamine. Coupling of anhydride (V) with 4-trifluoromethylbenzylamine (VI) furnishes the corresponding amide (VII). The chiral auxiliary is then removed from (VII) by hydrolysis with lithium peroxide to yield the target (S)-enantiomer.

Drug Information Express,Drug R&D,Chemical Database,Patent Search.
Copyright © 2006-2026 Drug Future. All rights reserved.Contact Us