【药物名称】
化学结构式(Chemical Structure):
参考文献No.659615
标题:New oligoethylene ester derivatives of 5-iodo-2'-deoxyuridine as dermal prodrugs: Synthesis, physicochemical properties, and skin permeation studies
作者:Bonina, F.P.; Rimoli, M.G.; Avallone, L.; Barbato, F.; Amato, M.; Puglia, C.; Ricci, M.; De Caprariis, P.
来源:J Pharm Sci 2002,91(1),171
合成路线图解说明:

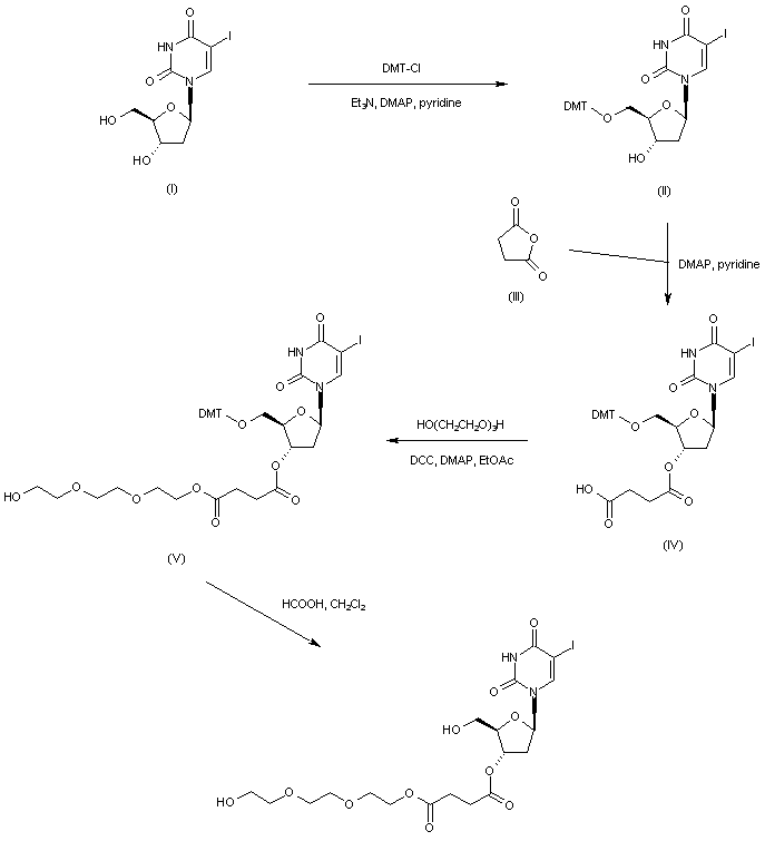
5-Iodo-2'-deoxyuridine (I) is protected at the primary hydroxyl group with 4,4'-dimethoxytrityl chloride to afford the 5'-O-trityl derivative (II). Subsequent esterification of the remaining hydroxyl group of (II) with succinic anhydride (III) yields the succinate mono-ester (IV). Acid (IV) is then coupled with diethylene glycol in the presence of DCC to produce (V). The O-trityl group of (V) is finally removed by treatment with formic acid, to give the title compound.

合成路线图解说明:

5-Iodo-2'-deoxyuridine (I) is protected at the primary hydroxyl group with 4,4'-dimethoxytrityl chloride to afford the 5'-O-trityl derivative (II). Subsequent esterification of the remaining hydroxyl group of (II) with succinic anhydride (III) yields the succinate mono-ester (IV). Acid (IV) is then coupled with triethylene glycol in the presence of DCC to produce (V). The O-trityl group of (V) is finally removed by treatment with formic acid, to give the title compound.

Drug Information Express,Drug R&D,Chemical Database,Patent Search.
Copyright © 2006-2026 Drug Future. All rights reserved.Contact Us