【药物名称】
化学结构式(Chemical Structure):
参考文献No.39446
标题:Substd. oximes as neurokinin antagonists
作者:Carruthers, N.I.; Alaimo, C.A.; Shih, N.-Y.; Lavey, B.J.; Ting, P.C.; Reichard, G.A. (Schering Corp.)
来源:EP 1032561; WO 9926924
合成路线图解说明:

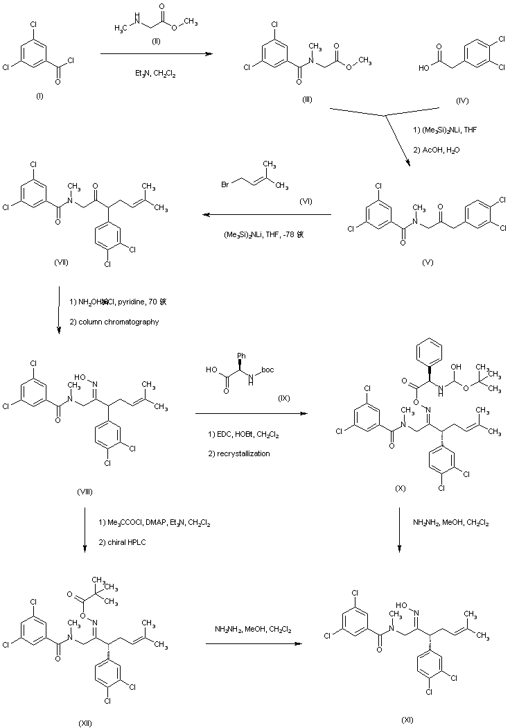
The intermediate chiral aldehyde (XIV) has been obtained as follows: Acylation of sarcosine methyl ester (II) with 3,5-dichlorobenzoyl chloride (I) provides the N-benzoyl aminoester (III). The dilithium derivative of 3,4-dichlorophenylacetic acid (IV) is condensed with ester (III) to furnish, after acidic work-up, the N-benzoyl amino ketone (V). Subsequent alkylation of (V) with 1-bromo-3-methyl-2-butene (VI) affords (VII). Treatment of ketone (VII) with hydroxylamine yields a mixture of E- and Z- oximes, from which the Z-isomer (VIII) is isolated by column chromatography. Resolution of racemic (VIII) is then accomplished by two procedures. Coupling of (VIII) with N-Boc-D-phenylglycine (IX) produces a diastereomeric mixture of O-acyl oximes, from which isomer (X) can be separated by recrystallization. Hydrazinolysis of the N-acyl oxime (X) furnishes the target (R)-enantiomer (XI). Alternatively, oxime (VIII) is acylated by pivaloyl chloride, and subsequently separated into enantiomers by means of chiral chromatography. The desired isomer (XII) is then subjected to hydrazinolysis, yielding (XI)

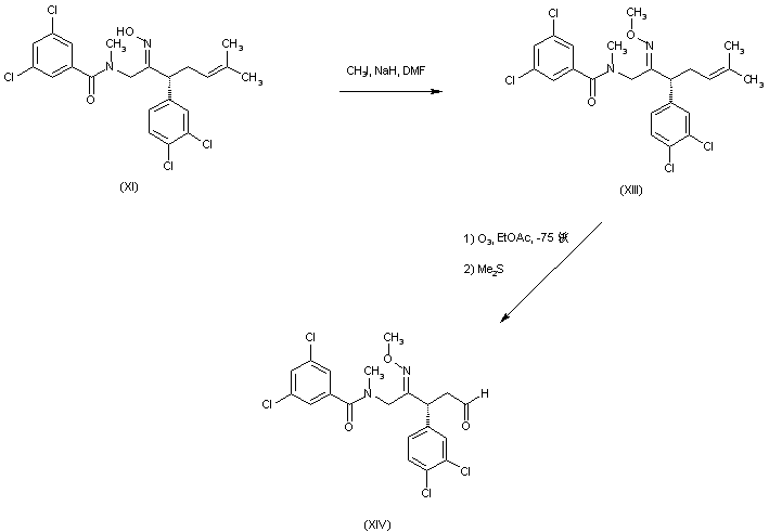
合成路线图解说明:

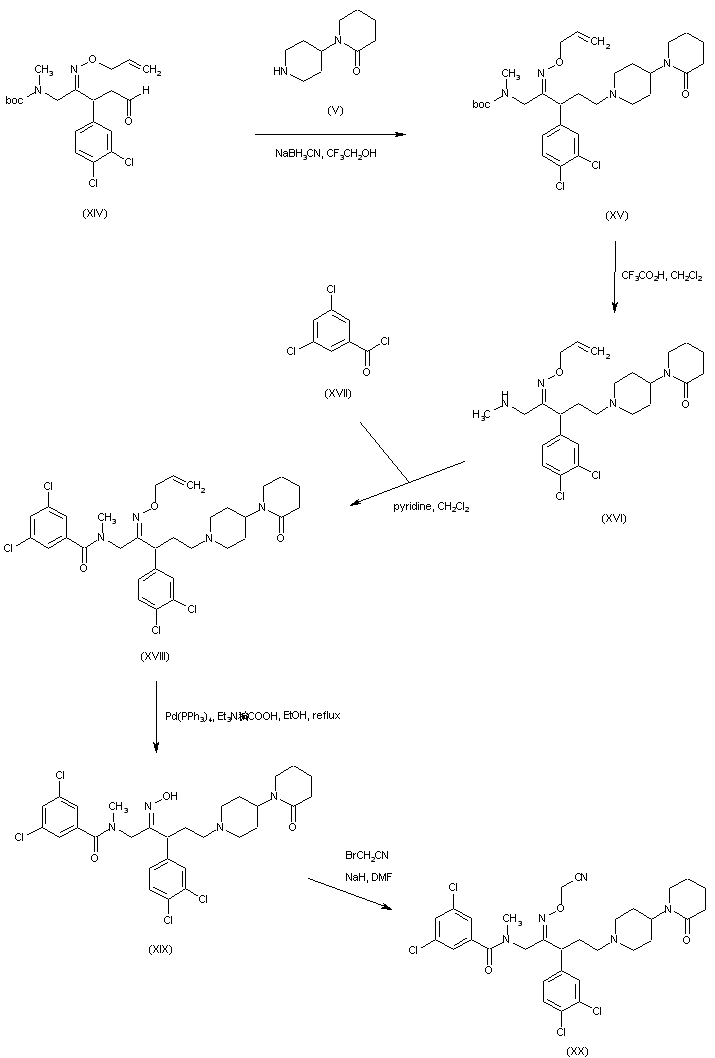
Alkylation of oxime (XI) with iodomethane in the presence of NaH provides the O-methyl oxime (XIII). Then, ozonolytic cleavage of the dimethylallyl group of (XIII), followed by reductive treatment with dimethylsulfide leads to aldehyde (XIV)

合成路线图解说明:

3-(Carbomethoxy)propionyl chloride (XV) is condensed with the chiral oxazolidine (XVI) to provide (XVII). Titanium-catalyzed Michael addition of acrylonitrile to the N-acyl oxazolidine (XVII) affords nitrile (XVIII), which is reduced to the primary amine (XIX) by catalytic hydrogenation in the presence of PtO2. Reductive alkylation of amine (XIX) with N-Boc-4-piperidone (XX) gives rise to the aminopiperidine (XXI). This is then cyclized to the piperidinyl piperidone (XXII) upon heating in acetonitrile. After alkaline hydrolysis of the methyl ester group of (XXII), coupling of the resultant acid (XXIII) with methylamine gives rise to the corresponding amide (XXIV). The N-Boc protecting group of (XXIV) is then removed by treatment with trifluoroacetic acid to furnish piperidine (XXV)

合成路线图解说明:

The title compound is obtained by reductive condensation between the chiral intermediate aldehyde (XIV) and piperidine (XXV) in the presence of NaBH(OAc)3 in trifluoroethanol

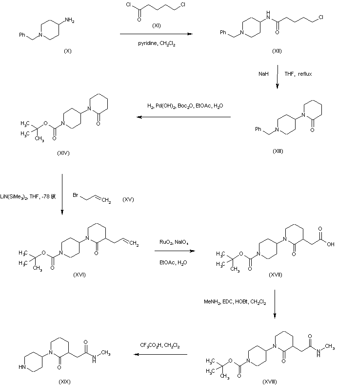
合成路线图解说明:

Acylation of 4-amino-1-benzylpiperidine (X) with 5-chloropentanoyl chloride (XI) gives the chloro amide (XII), which is further cyclized to the 2-piperidone (XIII) in the presence of NaH. Replacement of the N-benzyl (XIII) for a N-Boc (XIV) protecting group is then accomplished by catalytic hydrogenolysis in the presence of Boc2O (1,2). Alkylation of piperidone (XIV) with allyl bromide (XV) yields the racemic 3-allyl-2-piperidone (XVI), which is subjected to oxidative cleavage with RuO2/NaIO4, producing carboxylic acid (XVII). After coupling of acid (XVII) with methylamine, the resultant N-methyl amide (XVIII) is deprotected by treatment with trifluoroacetic acid to give piperidine (XIX)

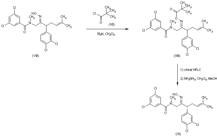
合成路线图解说明:

Acylation of sarcosine methyl ester (I) with 3,5-dichlorobenzoyl chloride (II) produced the corresponding amide (III). Claisen condensation of (III) with the dianion of 3,4-dichlorophenylacetic acid (IV), generated in the presence of lithium hexamethyldisilazide, gave, after acid decarboxylation, ketone (V). The lithium enolate of ketone (V) was then alkylated with 1-bromo-3-methyl-2-butene (VI) to afford (VII). Treatment of ketone (VII) with hydroxylamine produced a geometric mixture of oximes from which the desired (E)-isomer (VIII) was isolated by column chromatography. Resolution of the racemic (VIII) was achieved by coupling with N-Boc-D-phenylglycine (IX) followed by fractional crystallization of the desired diastereoisomer (X). Hydrazinolysis of the oxime ester then furnished the chiral intermediate (XI).

合成路线图解说明:

An alternative procedure for the resolution of (VIII) consisted in the O-acylation of oxime group with pivaloyl chloride (XII) to give (XIII), which was resolved into enantiomers by means of chiral HPLC. Hydrazinolysis of the desired (R)-enantiomer provided (XI).

合成路线图解说明:

Oxime (XI) was O-methylated with methyl iodide and NaH to afford (XIV). Subsequent ozonolysis of the double bond of (XIV) generated aldehyde (XV).

合成路线图解说明:

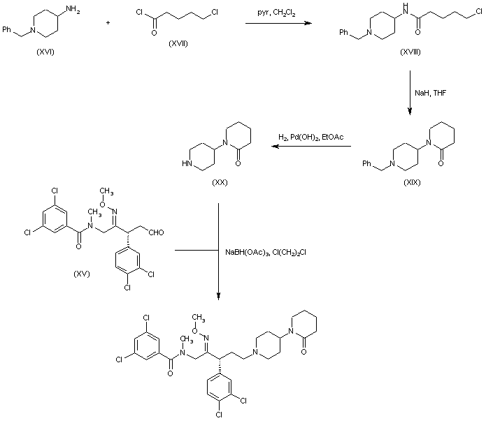
Acylation of 4-amino-1-benzylpiperidine (XVI) with 5-chlorovaleryl chloride (XVII) yielded chloro amide (XVIII). This was cyclized to the piperidino piperidinone (XIX) by treatment with NaH in THF. Subsequent hydrogenolysis of the N-benzyl group of (XIX) furnished piperidine (XX). Finally, reductive alkylation of piperidine (XX) with aldehyde (XV) in the presence of sodium triacetoxyborohydride gave rise to the title compound.

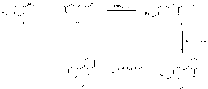
合成路线图解说明:

Acylation of 4-amino-1-benzylpiperidine (I) with 5-chlorovaleryl chloride (II) affords amide (III). Intramolecular cyclization of the chlorovaleramide (III) in the presence of NaH leads to the bipiperidine compound (IV). The N-benzyl group of (IV) is then removed by catalytic hydrogenolysis to provide intermediate (V)

合成路线图解说明:

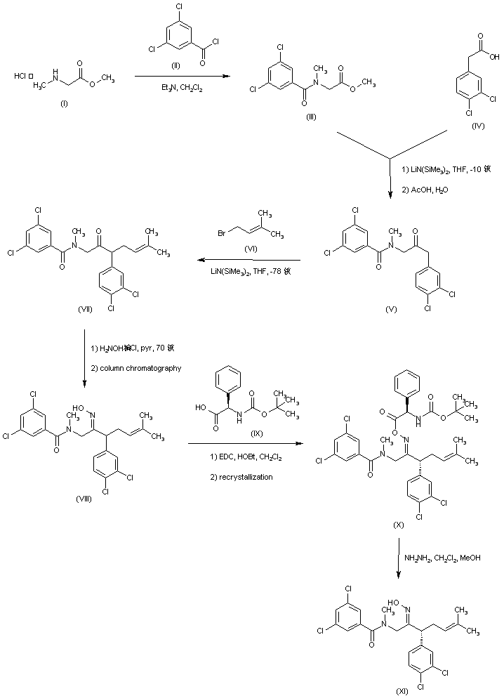
Claisen condensation between 3,4-dichlorophenylacetic acid (VI) and N-Boc-sarcosine methyl ester (VII), followed by acidic decarboxylation of the intermediate keto acid, furnishes amino ketone (VIII). Alkylation of (VIII) with the silylated bromoethanol (IX) in the presence of NaH and NaI yields adduct (X). Subsequent condensation of ketone (X) with O-allyl hydroxylamine (XI) generates the corresponding oxime (XII). After desilylation of (XII) with tetrabutylammonium fluoride, the resultant primary alcohol (XIII) is oxidized under Swern conditions to furnish aldehyde (XIV)

合成路线图解说明:

Reductive condensation between aldehyde (XIV) and the piperidine derivative (V) in the presence of NaBH3CN leads to the N-alkylated piperidine (XV). The N-Boc group of (XV) is cleaved under acidic conditions to afford amine (XVI), which is further acylated by 3,5-dichlorobenzoyl chloride (XVII), providing benzamide (XVIII). The oxime O-allyl group of (XVIII) is then removed by treatment with palladium tetrakis(triphenylphosphine) and triethylammonium formate, yielding oxime (XIX). This is subsequently alkylated with bromoacetonitrile and NaH, affording (XX)

合成路线图解说明:

Finally, addition of hydroxylamine to the nitrile (XX) under alkaline conditions provides the target N-hydroxy amidine derivative

参考文献No.44754
标题:Substd. oximes as neurokinin antagonists
作者:Carruthers, N.I.; Reichard, G.A.; Shih, N.-Y.; Lavey, B.J.; Alaimo, C.A.; Ting, P.C. (Schering Corp.)
来源:US 6063926
合成路线图解说明:

The intermediate chiral aldehyde (XIV) has been obtained as follows: Acylation of sarcosine methyl ester (II) with 3,5-dichlorobenzoyl chloride (I) provides the N-benzoyl aminoester (III). The dilithium derivative of 3,4-dichlorophenylacetic acid (IV) is condensed with ester (III) to furnish, after acidic work-up, the N-benzoyl amino ketone (V). Subsequent alkylation of (V) with 1-bromo-3-methyl-2-butene (VI) affords (VII). Treatment of ketone (VII) with hydroxylamine yields a mixture of E- and Z- oximes, from which the Z-isomer (VIII) is isolated by column chromatography. Resolution of racemic (VIII) is then accomplished by two procedures. Coupling of (VIII) with N-Boc-D-phenylglycine (IX) produces a diastereomeric mixture of O-acyl oximes, from which isomer (X) can be separated by recrystallization. Hydrazinolysis of the N-acyl oxime (X) furnishes the target (R)-enantiomer (XI). Alternatively, oxime (VIII) is acylated by pivaloyl chloride, and subsequently separated into enantiomers by means of chiral chromatography. The desired isomer (XII) is then subjected to hydrazinolysis, yielding (XI)

合成路线图解说明:

Alkylation of oxime (XI) with iodomethane in the presence of NaH provides the O-methyl oxime (XIII). Then, ozonolytic cleavage of the dimethylallyl group of (XIII), followed by reductive treatment with dimethylsulfide leads to aldehyde (XIV)

合成路线图解说明:

3-(Carbomethoxy)propionyl chloride (XV) is condensed with the chiral oxazolidine (XVI) to provide (XVII). Titanium-catalyzed Michael addition of acrylonitrile to the N-acyl oxazolidine (XVII) affords nitrile (XVIII), which is reduced to the primary amine (XIX) by catalytic hydrogenation in the presence of PtO2. Reductive alkylation of amine (XIX) with N-Boc-4-piperidone (XX) gives rise to the aminopiperidine (XXI). This is then cyclized to the piperidinyl piperidone (XXII) upon heating in acetonitrile. After alkaline hydrolysis of the methyl ester group of (XXII), coupling of the resultant acid (XXIII) with methylamine gives rise to the corresponding amide (XXIV). The N-Boc protecting group of (XXIV) is then removed by treatment with trifluoroacetic acid to furnish piperidine (XXV)

合成路线图解说明:

The title compound is obtained by reductive condensation between the chiral intermediate aldehyde (XIV) and piperidine (XXV) in the presence of NaBH(OAc)3 in trifluoroethanol

合成路线图解说明:

Acylation of sarcosine methyl ester (I) with 3,5-dichlorobenzoyl chloride (II) produced the corresponding amide (III). Claisen condensation of (III) with the dianion of 3,4-dichlorophenylacetic acid (IV), generated in the presence of lithium hexamethyldisilazide, gave, after acid decarboxylation, ketone (V). The lithium enolate of ketone (V) was then alkylated with 1-bromo-3-methyl-2-butene (VI) to afford (VII). Treatment of ketone (VII) with hydroxylamine produced a geometric mixture of oximes from which the desired (E)-isomer (VIII) was isolated by column chromatography. Resolution of the racemic (VIII) was achieved by coupling with N-Boc-D-phenylglycine (IX) followed by fractional crystallization of the desired diastereoisomer (X). Hydrazinolysis of the oxime ester then furnished the chiral intermediate (XI).

合成路线图解说明:

An alternative procedure for the resolution of (VIII) consisted in the O-acylation of oxime group with pivaloyl chloride (XII) to give (XIII), which was resolved into enantiomers by means of chiral HPLC. Hydrazinolysis of the desired (R)-enantiomer provided (XI).

合成路线图解说明:

Oxime (XI) was O-methylated with methyl iodide and NaH to afford (XIV). Subsequent ozonolysis of the double bond of (XIV) generated aldehyde (XV).

合成路线图解说明:

Acylation of 4-amino-1-benzylpiperidine (XVI) with 5-chlorovaleryl chloride (XVII) yielded chloro amide (XVIII). This was cyclized to the piperidino piperidinone (XIX) by treatment with NaH in THF. Subsequent hydrogenolysis of the N-benzyl group of (XIX) furnished piperidine (XX). Finally, reductive alkylation of piperidine (XX) with aldehyde (XV) in the presence of sodium triacetoxyborohydride gave rise to the title compound.

合成路线图解说明:

Acylation of 4-amino-1-benzylpiperidine (I) with 5-chlorovaleryl chloride (II) affords amide (III). Intramolecular cyclization of the chlorovaleramide (III) in the presence of NaH leads to the bipiperidine compound (IV). The N-benzyl group of (IV) is then removed by catalytic hydrogenolysis to provide intermediate (V)

合成路线图解说明:

Claisen condensation between 3,4-dichlorophenylacetic acid (VI) and N-Boc-sarcosine methyl ester (VII), followed by acidic decarboxylation of the intermediate keto acid, furnishes amino ketone (VIII). Alkylation of (VIII) with the silylated bromoethanol (IX) in the presence of NaH and NaI yields adduct (X). Subsequent condensation of ketone (X) with O-allyl hydroxylamine (XI) generates the corresponding oxime (XII). After desilylation of (XII) with tetrabutylammonium fluoride, the resultant primary alcohol (XIII) is oxidized under Swern conditions to furnish aldehyde (XIV)

合成路线图解说明:

Reductive condensation between aldehyde (XIV) and the piperidine derivative (V) in the presence of NaBH3CN leads to the N-alkylated piperidine (XV). The N-Boc group of (XV) is cleaved under acidic conditions to afford amine (XVI), which is further acylated by 3,5-dichlorobenzoyl chloride (XVII), providing benzamide (XVIII). The oxime O-allyl group of (XVIII) is then removed by treatment with palladium tetrakis(triphenylphosphine) and triethylammonium formate, yielding oxime (XIX). This is subsequently alkylated with bromoacetonitrile and NaH, affording (XX)

合成路线图解说明:

Finally, addition of hydroxylamine to the nitrile (XX) under alkaline conditions provides the target N-hydroxy amidine derivative

Drug Information Express,Drug R&D,Chemical Database,Patent Search.
Copyright © 2006-2026 Drug Future. All rights reserved.Contact Us