【药物名称】
化学结构式(Chemical Structure):
参考文献No.660111
标题:Substituted 2-(R)-methyl piperazines as muscarinic M2 selective ligands
作者:Kozlowski, J.A.; Zhou, G.; Tagat, J.R.; Lin, S.I.; McCombie, S.W.; Ruperto, V.B.; Duffy, R.A.; McQuade, R.A.; Crosby, G.; Taylor, L.A.; Billard, W.; Binch, H.; Lachowicz, J.E.
来源:Bioorg Med Chem Lett 2002,12(5),791
合成路线图解说明:

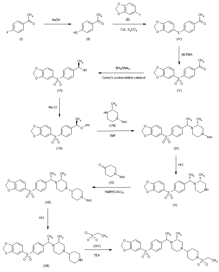
The reaction of 4-fluoroacetophenone (I) with sodium hydrogensulfide in hot DMF gives 4-sulfanylacetophenone (II), which is condensed with 5-iodo-1,3-benzodioxole (III) by means of CuI and K2CO3 in hot DMF to yield the thioether (IV). The oxidation of (IV) with MCPBA in dichloroethane affords the sulfone (V), which is enantioselectively reduced by means of BH3/SMe2 and Corey's oxoborolidine catalyst in THF to provide the chiral (R)-alcohol (VI). The reaction of (VI) with Ms-Cl in dichloromethane gives the mesylate (VII), which is condensed with the monoprotected 2(R)-methylpiperazine (VIII) by means of tetramethylpiperidine (TMP) in refluxing acetonitrile to yield the expected benzylic (S)-methyl compound (IX). The elimination of the Boc protecting group of (IX) with refluxing 6N HCl affords the piperazine derivative (X), which is reductocondensed with 1-(Boc)piperidin-4-one (XI) by means of NaBH(OAc)3 to provide adduct (XII). Elimination of the Boc protecting group of (XII) as before gives the piperidine derivative (XIII), which is finally sulfonated with ethylsulfonyl chloride and TEA to provide the target ethylsufonyl piperidine.

Drug Information Express,Drug R&D,Chemical Database,Patent Search.
Copyright © 2006-2026 Drug Future. All rights reserved.Contact Us