【药物名称】
化学结构式(Chemical Structure):
参考文献No.45668
标题:Quinazolinone and benzoxazine derivs. as progesterone receptor modulators
作者:Jones, T.K.; Zhi, L.; Tegley, C.M.; Fensome, A.; Zhang, P.; Terefenko, E.A.; Marschke, K.B. (Ligand Pharmaceuticals, Inc.; Wyeth)
来源:EP 1175404; WO 0066560
合成路线图解说明:

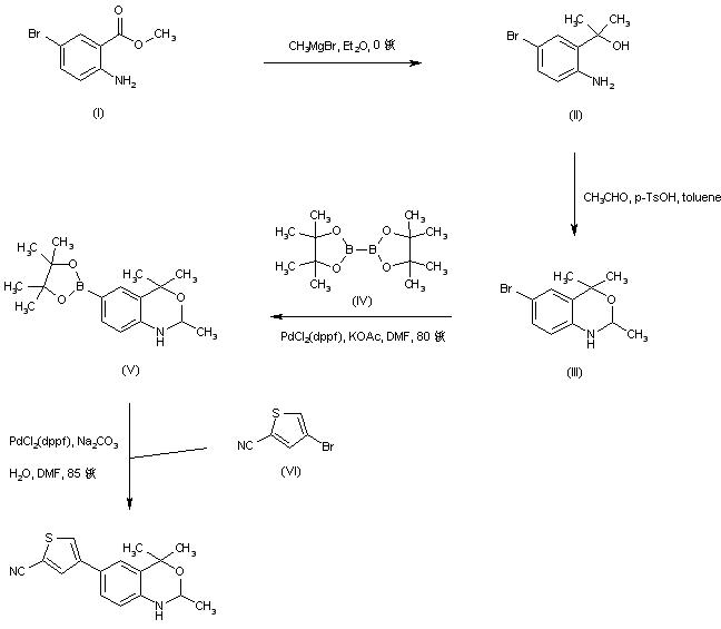
Addition of methylmagnesium bromide to methyl 2-amino-5-bromobenzoate (I) provides the tertiary alcohol (II). Subsequent ring closure of the amino carbinol (II) with acetaldehyde leads to the benzoxazine (III). Treatment of the bromobenzoxazine (III) with bis(pinacolato)diboron (IV) and [1,1'-bis(diphenylphosphino)ferrocene]palladium(II) chloride furnishes the aryl borate (V). This is finally subjected to Suzuki coupling with 5-bromo-2-thiophenecarbonitrile (VI) to produce the title benzoxazinyl thiophene derivative.

参考文献No.45721
标题:Contraceptive compsns. containing quinazolinone and benzoxazine derivs.
作者:Jones, T.K.; Zhi, L.; Tegley, C.M.; Marschke, K.B.; Grubb, G.S. (Ligand Pharmaceuticals, Inc.; Wyeth)
来源:WO 0066164; WO 0066165
合成路线图解说明:

Addition of methylmagnesium bromide to methyl 2-amino-5-bromobenzoate (I) provides the tertiary alcohol (II). Subsequent ring closure of the amino carbinol (II) with acetaldehyde leads to the benzoxazine (III). Treatment of the bromobenzoxazine (III) with bis(pinacolato)diboron (IV) and [1,1'-bis(diphenylphosphino)ferrocene]palladium(II) chloride furnishes the aryl borate (V). This is finally subjected to Suzuki coupling with 5-bromo-2-thiophenecarbonitrile (VI) to produce the title benzoxazinyl thiophene derivative.

参考文献No.660110
标题:Potent nonsteroidal progesterone receptor agonists: Synthesis and SAR study of 6-aryl benzoxazines
作者:Zhang, P.; Terefenko, E.A.; Fensome, A.; Zhang, Z.; Zhu, Y.; Cohen, J.; Winneker, R.; Wrobel, J.; Yardley, J.
来源:Bioorg Med Chem Lett 2002,12(5),787
合成路线图解说明:

Addition of methylmagnesium bromide to methyl 2-amino-5-bromobenzoate (I) provides the tertiary alcohol (II). Subsequent ring closure of the amino carbinol (II) with acetaldehyde leads to the benzoxazine (III). Treatment of the bromobenzoxazine (III) with bis(pinacolato)diboron (IV) and [1,1'-bis(diphenylphosphino)ferrocene]palladium(II) chloride furnishes the aryl borate (V). This is finally subjected to Suzuki coupling with 5-bromo-2-thiophenecarbonitrile (VI) to produce the title benzoxazinyl thiophene derivative.

Drug Information Express,Drug R&D,Chemical Database,Patent Search.
Copyright © 2006-2026 Drug Future. All rights reserved.Contact Us