【药物名称】
化学结构式(Chemical Structure):
参考文献No.660109
标题:Synthesis and activity of a new methoxytetrahydropyran derivative as dual cyclooxygenase-2/5-lipoxygenase inhibitor
作者:Barbey, S.; Goossens, L.; Taverne, T.; Cornet, J.; Choesmel, V.; Rouaud, C.; Gimeno, G.; Yannic-Arnoult, S.; Michaux, C.; Charlier, C.; Houssin, R.; Henichart, J.P.
来源:Bioorg Med Chem Lett 2002,12(5),779
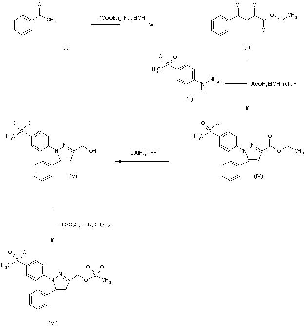
合成路线图解说明:

Claisen condensation of acetophenone (I) with diethyl oxalate affords the dioxo ester (II). This is condensed with 4-(methylsulfonyl)phenylhydrazine (III) to form the diaryl pyrazole (IV). Ester group reduction in (IV) by means of LiAlH4 provides alcohol (V), which is converted to the corresponding mesylate (VI) upon treatment with methanesulfonyl chloride and Et3N

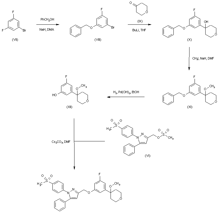
合成路线图解说明:

Displacement of 3,5-difluorobromobenzene (VII) with the sodium alkoxide of benzyl alcohol yields the benzyl ether (VIII). Metalation of (VIII) with butyllithium, followed by addition to tetrahydropyran-4-one (IX) furnishes the carbinol adduct (X). This is converted to the methyl ether (XI) by alkylation with iodomethane in the presence of NaH. Then, hydrogenolysis of the O-benzyl group of (XI) over Pd(OH)2 provides phenol (XII). Finally, condensation between phenol (XII) and mesylate (VI) gives rise to the title compound

Drug Information Express,Drug R&D,Chemical Database,Patent Search.
Copyright © 2006-2026 Drug Future. All rights reserved.Contact Us