【药物名称】
化学结构式(Chemical Structure):
参考文献No.660107
标题:Benzamide-based thiocarbamates: A new class of HIV-1 NCp7 inhibitors
作者:Goel, A.; Mazur, S.J.; Fattah, R.J.; Hartman, T.L.; Turpin, J.A.; Huang, M.; Rice, W.G.; Appella, E.; Inman, J.K.
来源:Bioorg Med Chem Lett 2002,12(5),767
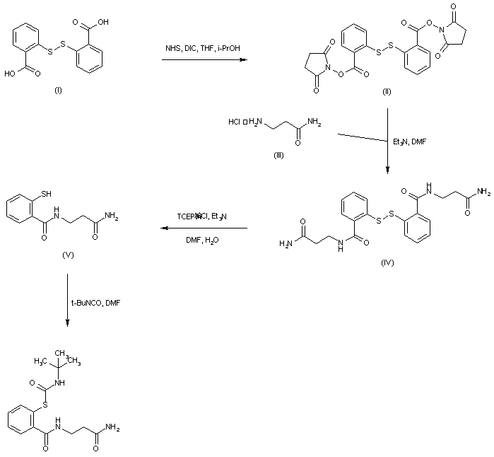
合成路线图解说明:

2,2'-Dithiosalicylic acid (I) is activated as the bis-succinimidyl ester (II) upon treatment with N-hydroxysuccinimide and DIC. Coupling of the active ester (II) with 3-aminopropionamide (III) gives rise to the corresponding dithiosalicylamide (IV). Reductive cleavage of the disulfide bond of (IV) using tris(2-carboxyethyl)phosphine (TCEP) affords thiol (V). The desired thiolcarbamate is then obtained by condensation of (V) with tert-butyl isocyanate in DMF.

Drug Information Express,Drug R&D,Chemical Database,Patent Search.
Copyright © 2006-2026 Drug Future. All rights reserved.Contact Us