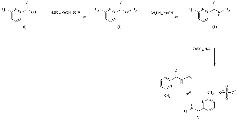
【药物名称】Zn(6mpa-ma)2SO4
化学结构式(Chemical Structure):
参考文献No.659540
标题:Potential insulinominetic agents of zinc(II) complexes with picolinamide derivatives: Preparations of complexes, in vitro and in vivo studies
作者:Ueda, E.; Yoshikawa, Y.; Ishino, Y.; Sakurai, H.; Kojima, Y.
来源:Chem Pharm Bull 2002,50(3),337
合成路线图解说明:

6-Methylpicolinic acid (I) is esterified with MeOH and H2SO4, and the resultant methyl ester (II) is further reacted with methylamine to afford amide (III). The target zinc complex is then obtained by treatment of picolinamide (III) with an aqueous solution of ZnSO4.

Drug Information Express,Drug R&D,Chemical Database,Patent Search.
Copyright © 2006-2026 Drug Future. All rights reserved.Contact Us