【药物名称】
化学结构式(Chemical Structure):
参考文献No.25524
标题:Derivs. of beta,beta-dimethyl-4-piperidineethanamine as inhibitors of the cholesterol biosynthesis
作者:Binet, J.; Samreth, S.; De Fornel, D. (Laboratoires Fournier SA)
来源:EP 0699187; FR 2705343; JP 1996510726; US 5614534; WO 9426713
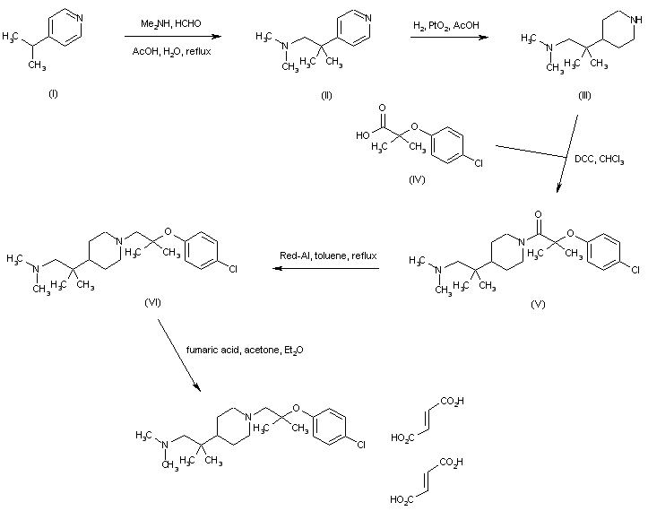
合成路线图解说明:

Mannich reaction between 4-isopropylpyridine (I), formaldehyde, and dimethylamine, furnished the pyridyl ethylamine (II). Subsequent hydrogenation of the pyridine ring of (III) in the presence of PtO2 gave rise to piperidine (III). This was coupled with 2-(p-chlorophenoxy)-2-methylpropionic acid (IV) to provide amide (V). Then, amide (V) reduction by means of sodium bis(methoxyethoxy)aluminum hydride produced diamine (VI). This was finally converted to the title maleate salt upon treatment with maleic acid in acetone-ether.

参考文献No.659543
标题:Structure activity relationships of new inhibitors of mammalian 2,3-oxidosqualene cyclase designed from isoquinoline derivatives
作者:Binet, J.; Thomas, D.; Benmbarek, A.; de Fornel, D.; Renaut, P.
来源:Chem Pharm Bull 2002,50(3),316
合成路线图解说明:

Mannich reaction between 4-isopropylpyridine (I), formaldehyde, and dimethylamine, furnished the pyridyl ethylamine (II). Subsequent hydrogenation of the pyridine ring of (III) in the presence of PtO2 gave rise to piperidine (III). This was coupled with 2-(p-chlorophenoxy)-2-methylpropionic acid (IV) to provide amide (V). Then, amide (V) reduction by means of sodium bis(methoxyethoxy)aluminum hydride produced diamine (VI). This was finally converted to the title maleate salt upon treatment with maleic acid in acetone-ether.

Drug Information Express,Drug R&D,Chemical Database,Patent Search.
Copyright © 2006-2026 Drug Future. All rights reserved.Contact Us