【药物名称】PPK-12
化学结构式(Chemical Structure):
参考文献No.658065
标题:Synthesis and evaluation of a new class of nifedipine analogs with T-type calcium channel blocking activity
作者:Kumar, P.P.; Stotz, S.C.; Paramashivappa, R.; Beedle, A.M.; Zamponi, G.W.; Rao, A.S.
来源:Mol Pharmacol 2002,61(3),649
合成路线图解说明:

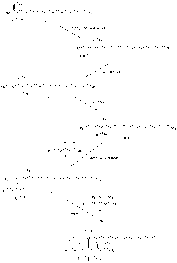
Treatment of anacardic acid (I) with diethyl sulfate produces the dialkylated derivative (II). Ester group reduction in (II) employing LiAlH4 then yields the benzylic alcohol (III), which is further oxidized to aldehyde (IV) with pyridinium chlorochromate. Condensation of aldehyde (IV) with ethyl acetoacetate (V) in the presence of piperidine and AcOH gives the benzylidene acetoacetate (VI). This is finally condensed with enamino ester (VII) under modified Hantzsh conditions to furnish the target dihydropyridine compound.

Drug Information Express,Drug R&D,Chemical Database,Patent Search.
Copyright © 2006-2026 Drug Future. All rights reserved.Contact Us