【药物名称】RS-1653
化学结构式(Chemical Structure):
参考文献No.29605
标题:Isoxazoles
作者:Kojima, K.; Aizawa, Y.; Kaneko, I.; Sakai, J.; Kozuka, M.; Koyama, K.; Samata, N.; Yoshimi, K. (Sankyo Co., Ltd.)
来源:EP 0779281; JP 1997059264; US 5965591; US 6096771; WO 9606837
合成路线图解说明:

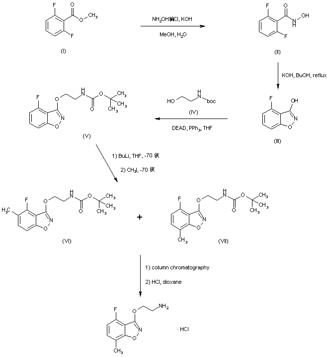
Methyl 2,6-difluorobenzoate (I) was converted to the hydroxamic acid (II) upon treatment with hydroxylamine and KOH. Cyclization of the fluorobenzohydroxamic acid (II) using KOH in boiling butanol produced the 3-hydroxybenzisoxazole (III), which was subjected to Mitsunobu coupling with N-Boc-ethanolamine (IV) to furnish the N-Boc-aminoethyl ether (V). Metalation of (V) with butyllithium at -70 C, followed by quenching with iodomethane gave rise to two regioisomeric methylbenzisoxazoles (VI) and (VII), which were separated by column chromatography. The target 7-methyl benzisoxazole (VII) was then deprotected under acidic conditions to yield the title aminoethoxy derivative.

Drug Information Express,Drug R&D,Chemical Database,Patent Search.
Copyright © 2006-2026 Drug Future. All rights reserved.Contact Us