【药物名称】NSC-262244, TPA
化学结构式(Chemical Structure):
参考文献No.710897
标题:Active components of croton oil. IX. Partial synthesis of the active components of croton oil
作者:Bresch, H.; et al.
来源:Z Naturforsch B - J Chem Sci 1968,23(4),539
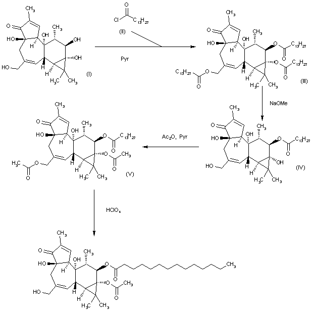
合成路线图解说明:

The acylation of phorbol (I) with tetradecanoyl chloride (II) in pyridine gives the triacyl phorbol (III), which is selective hydrolyzed with NaOMe in methanol at room temperature to yield the monoacyl phorbol (IV). The acylation of (IV) with acetic anhydride in pyridine at 8 C affords the diacetoxy tetradecanoyloxy phorbol (V). Finally, this compound is monodeacetylated by means of HClO4 in methanol at room temperature to provide the target mixed diacylphorbol.

Drug Information Express,Drug R&D,Chemical Database,Patent Search.
Copyright © 2006-2026 Drug Future. All rights reserved.Contact Us