【药物名称】
化学结构式(Chemical Structure):
参考文献No.656613
标题:3-(1H-Pyrrol-1-yl)-2-oxazolidinones as reversible, highly potent, and selective inhibitors of monoamine oxidase type A
作者:Mai, A.; Artico, M.; Esposito, M.; Sbardella, g.; Massa, S.; Befani, O.; Turini, P.; Giovannini, V.; Mondovi, B.
来源:J Med Chem 2002,45(6),1180
合成路线图解说明:

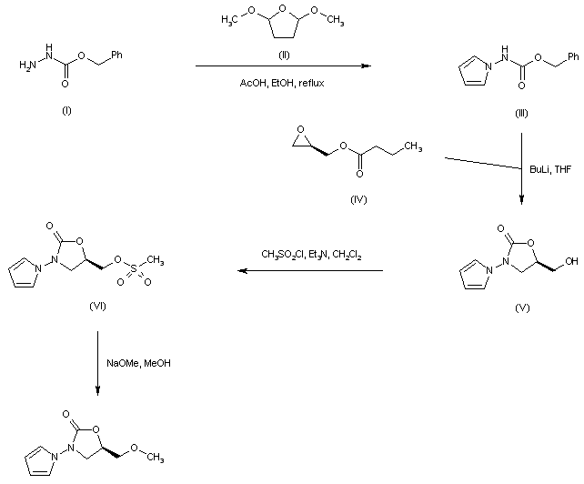
Condensation of benzyl carbazate (I) with 2,5-dimethoxytetrahydrofuran (II) affords the N-benzyloxycarbonyl aminopyrrole (III). The lithiated derivative of (III) is condensed with (R)-glycidyl butyrate (IV) to furnish the chiral oxazolidinone (V). Alcohol (V) is converted to the corresponding mesylate (VI) with methanesulfonyl chloride and triethylamine. Finally, nucleophilic displacement of mesylate (VI) with sodium methoxide affords the target methyl ether.

Drug Information Express,Drug R&D,Chemical Database,Patent Search.
Copyright © 2006-2026 Drug Future. All rights reserved.Contact Us