【药物名称】
化学结构式(Chemical Structure):
参考文献No.36499
标题:Thienylcyclohexanone derivs. as ligands of the GABAA alpha5 receptor subtype
作者:Broughton, H.B.; Chambers, M.S.; Hobbs, S.C.; Macleod, A.M.; Reeve, A.J. (Merck Sharp & Dohme Ltd.)
来源:EP 0937072; JP 2001503408; US 6262103; WO 9818792
合成路线图解说明:

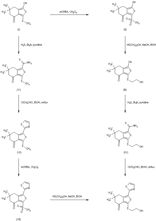
The title compound is prepared by two related procedures. 1-Cyano-6,6-dimethyl-3-(methylthio)-4,5,6,7-tetrahydrobenzo[c]thiopen-4-one (I) is oxidized to the corresponding sulfone (II) employing m-chloroperbenzoic acid (mCPBA). Subsequent displacement of the methylsulfonyl group of (II) with the sodium salt of 2-mercaptoethanol leads to the hydroxyethyl sulfide (III). Addition of SH2 to the nitrile (III) in the presence of Et3N and pyridine gives rise to thioamide (IV). This is finally condensed with chloroacetaldehyde in boiling EtOH to furnish the target thiazole compound. Alternatively, nitrile (I) is first treated with SH2 in Et3N/pyridine to yield thioamide (V). Then, cyclization of (V) with chloroacetaldehyde provides thiazole (VI) . The sulfide group of (VI) is further oxidized to sulfone (VII) by means of mCPBA. Finally, displacement of the methylsulfonyl group of (VII) with 2-mercaptoethanol leads to the title hydroxyethyl sulfide.

参考文献No.656612
标题:6,7-Dihydro-2-benzothiophen-4(5H)-ones: A novel class of GABA-A alpha5 receptor inverse agonists
作者:Chambers, M.S.; Atack, J.R.; Bromidge, F.A.; Broughton, H.B.; Cook, S.; Dawson, G.R.; Hoobs, S.C.; Maubach, K.A.; Reeve, A.J.; Seabrook, G.R.; Wafford, K.; MacLeod, A.M.
来源:J Med Chem 2002,45(6),1176
合成路线图解说明:

The title compound is prepared by two related procedures. 1-Cyano-6,6-dimethyl-3-(methylthio)-4,5,6,7-tetrahydrobenzo[c]thiopen-4-one (I) is oxidized to the corresponding sulfone (II) employing m-chloroperbenzoic acid (mCPBA). Subsequent displacement of the methylsulfonyl group of (II) with the sodium salt of 2-mercaptoethanol leads to the hydroxyethyl sulfide (III). Addition of SH2 to the nitrile (III) in the presence of Et3N and pyridine gives rise to thioamide (IV). This is finally condensed with chloroacetaldehyde in boiling EtOH to furnish the target thiazole compound. Alternatively, nitrile (I) is first treated with SH2 in Et3N/pyridine to yield thioamide (V). Then, cyclization of (V) with chloroacetaldehyde provides thiazole (VI) . The sulfide group of (VI) is further oxidized to sulfone (VII) by means of mCPBA. Finally, displacement of the methylsulfonyl group of (VII) with 2-mercaptoethanol leads to the title hydroxyethyl sulfide.

参考文献No.687873
标题:GABA-A alpha5-subtype selective inverse agonists as potential cognition-enhancing agents
作者:Chambers, M.S.; Atack, J.R.; Bromidge, F.A.; Broughton, H.B.; Collinson, N.; Cook, S.; Dawson, G.R.; Hobbs, S.C.; Maubach, K.A.; Reeve, A.J.; Seabrook, G.R.; Wafford, K.; MacLeod, A.M.
来源:Drugs Fut 2002,27(Suppl. A),
合成路线图解说明:

The title compound is prepared by two related procedures. 1-Cyano-6,6-dimethyl-3-(methylthio)-4,5,6,7-tetrahydrobenzo[c]thiopen-4-one (I) is oxidized to the corresponding sulfone (II) employing m-chloroperbenzoic acid (mCPBA). Subsequent displacement of the methylsulfonyl group of (II) with the sodium salt of 2-mercaptoethanol leads to the hydroxyethyl sulfide (III). Addition of SH2 to the nitrile (III) in the presence of Et3N and pyridine gives rise to thioamide (IV). This is finally condensed with chloroacetaldehyde in boiling EtOH to furnish the target thiazole compound. Alternatively, nitrile (I) is first treated with SH2 in Et3N/pyridine to yield thioamide (V). Then, cyclization of (V) with chloroacetaldehyde provides thiazole (VI) . The sulfide group of (VI) is further oxidized to sulfone (VII) by means of mCPBA. Finally, displacement of the methylsulfonyl group of (VII) with 2-mercaptoethanol leads to the title hydroxyethyl sulfide.

Drug Information Express,Drug R&D,Chemical Database,Patent Search.
Copyright © 2006-2026 Drug Future. All rights reserved.Contact Us