【药物名称】Epithalon, Epitalon
化学结构式(Chemical Structure):
参考文献No.53967
标题:Tetrapeptide revealing geroprotective effect, pharmacological substance on its basis, and the method of its application
作者:Khavinson, V.K.
来源:WO 0068255
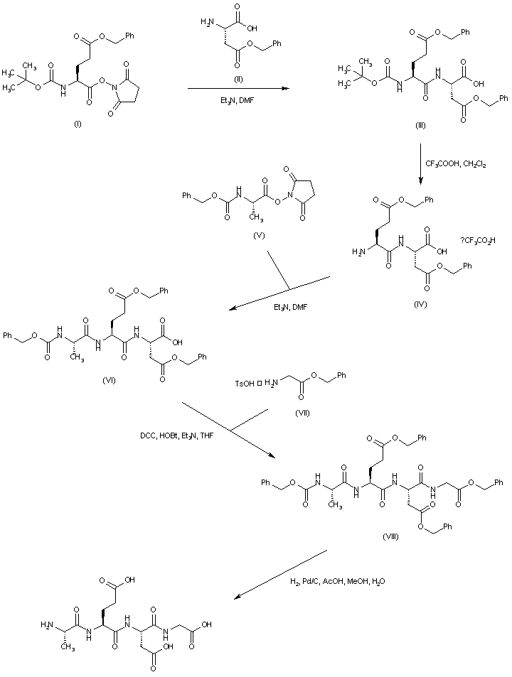
合成路线图解说明:

The title compound was obtained by solution-phase peptide synthesis. Acylation of L-aspartic acid beta-benzyl ester (II) with the succinimidyl ester of N-Boc-gamma-benzyl-L-glutamic acid (I) led to the protected dipeptide (III). Removal of the Boc protecting group of (III) by means of trifluoroacetic acid afforded amine (IV), which was subsequently condensed with N-Cbz-L-alanine succinimidyl ester (V) to furnish tripeptide (VI). Coupling of (VI) with glycine benzyl ester (VII) using DCC and HOBt gave the fully protected peptide (VIII). The N-Cbz and benzyl ester groups of (VIII) were finally removed by catalytic hydrogenation over Pd/C to provide the target tetrapeptide.

Drug Information Express,Drug R&D,Chemical Database,Patent Search.
Copyright © 2006-2026 Drug Future. All rights reserved.Contact Us