【药物名称】HOFQ
化学结构式(Chemical Structure):
参考文献No.654260
标题:Synthesis and biological evaluation of a new furo(2,3-h)quinolin-2(1H)-one
作者:Chilin, A.; Marzano, C.; Guiotto, A.; Baccichetti, F.; Carlassare, F.; Bordin, F.
来源:J Med Chem 2002,45(5),1146
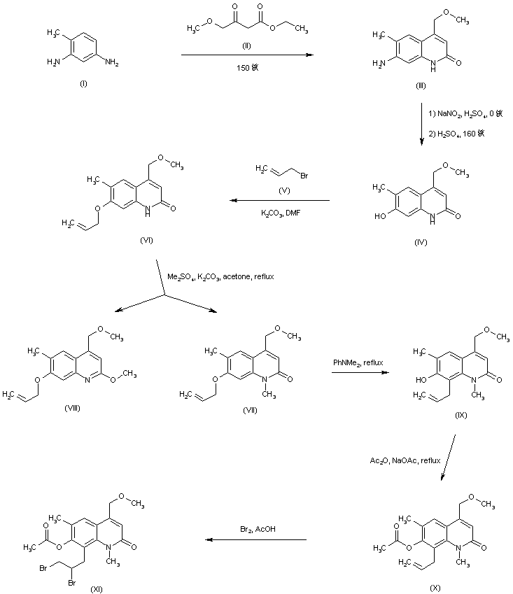
合成路线图解说明:

Condensation of 2,4-diaminotoluene (I) with methyl 4-methoxyacetoacetate (II) produces quinolinone (III). Conversion of the 7-aminoquinolinone (III) into the 7-hydroxy analogue (IV) is achieved by diazotization, followed by hydrolysis in hot sulfuric acid. Alkylation of phenol (IV) with allyl bromide (V) gives allyl ether (VI). Subsequent methylation of (VI) by means of dimethyl sulfate leads to a mixture of the desired N-methyl quinoline (VII) along with minor amounts of the O-methyl isomer (VIII), which are separated by column chromatography. Claisen rearrangement of the allyl ether (VII) in refluxing N,N-dimethylaniline affords the 7-hydroxy-8-allyl quinolone (IX), which is further acetylated to (X) by means of acetic anhydride and sodium acetate. Bromination of the allyl group of (X) in HOAc yields the dibromo compound (XI).

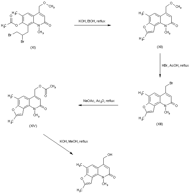
合成路线图解说明:

Hydrolysis and cyclization of the dibromo acetate (XI) under basic conditions provides the furoquinoline (XII). Cleavage of the methyl ether group of (XII) using HBr in boiling HOAc gives bromide (XIII). Subsequent bromide displacement in (XIII) by sodium acetate yields acetate ester (XIV), which is finally hydrolyzed to the desired alcohol with methanolic KOH.

Drug Information Express,Drug R&D,Chemical Database,Patent Search.
Copyright © 2006-2026 Drug Future. All rights reserved.Contact Us