【药物名称】MKH-57
化学结构式(Chemical Structure):
参考文献No.654247
标题:Rhodacyanine dyes as antimalarials. 1. Preliminary evaluation of their activity and toxicity
作者:Takasu, K.; Inoue, H.; Kim, H.-S.; Suzuki, M.; Shishido, t.; Wataya, Y.; Ihara, M.
来源:J Med Chem 2002,45(5),995
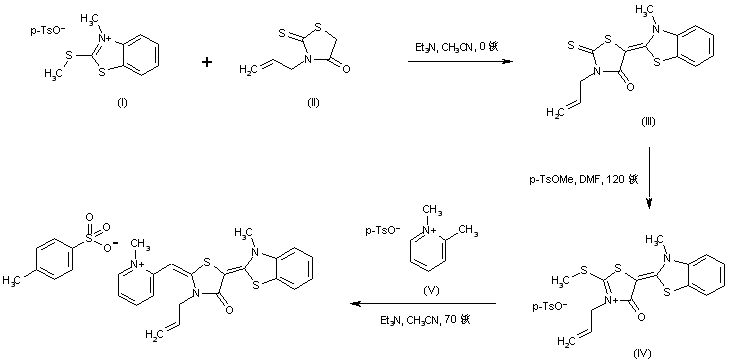
合成路线图解说明:

Condensation of the benzothiazolium salt (I) with 3-allylrhodanine (II) in the presence of Et3N afforded the benzothiazolylidene rhodanine (III). S-Methylation of (III) was accomplished by treatment with methyl p-toluenesulfonate at 120 C, yielding (IV). This was finally condensed with 1,2-dimethylpyridinium tosylate (V) in the presence of Et3N to provide the title compound.

Drug Information Express,Drug R&D,Chemical Database,Patent Search.
Copyright © 2006-2026 Drug Future. All rights reserved.Contact Us