【药物名称】GS-7340
化学结构式(Chemical Structure):
参考文献No.53686
标题:Prodrugs of phosphonate nucleotide analogues and methods for selecting and making same
作者:Prisbe, E.J.; Lee, W.A.; Rohloff, J.C.; Becker, M.W.; Chapman, H.H.; Cihlar, T.; Eisenberg, E.J.; He, G.-X.; Kernan, M.R.; Sparacino, M.L. (Gilead Sciences Inc.)
来源:WO 0208241
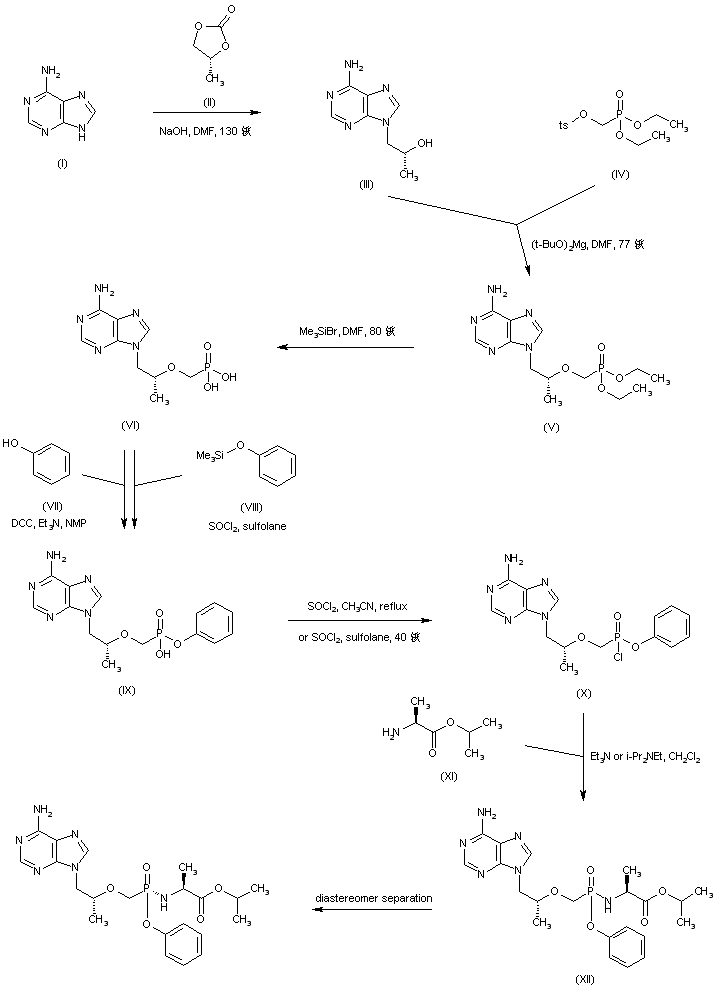
合成路线图解说明:

Alkylation of adenine (I) by means of (R)-propylene carbonate (II) in the presence of NaOH in hot DMF provided (R)-9-(2-hydroxypropyl)adenine (III). This was condensed with tosylate (IV) using magnesium tert-butoxide to furnish the alkoxymethylphosphonate (V). Phosphonic acid (VI) was then obtained by hydrolysis of the phosphate ester groups with bromotrimethylsilane. Monophenyl phosphonate (IX) was prepared by either coupling of acid (VI) with phenol (VII) in the presence of DCC or by previous activation of (VI) with SOCl2, and then coupling with phenoxytrimethylsilane (VIII). Further activation of (IX) with SOCl2 to give (X), followed by its condensation with L-alanine isopropyl ester (XI), yielded phosphonamide (XII) as a mixture of diastereomers. The title isomer was then isolated by several alternative procedures, including column chromatography over various supports and fractional crystallization.

Drug Information Express,Drug R&D,Chemical Database,Patent Search.
Copyright © 2006-2026 Drug Future. All rights reserved.Contact Us