【药物名称】
化学结构式(Chemical Structure):
参考文献No.53810
标题:beta-Alanine derivs.
作者:H鰈zemann, G.; Jonczyk, A.; Goodman, S.; St鋒le, W. (Merck Patent GmbH)
来源:WO 0048996
合成路线图解说明:

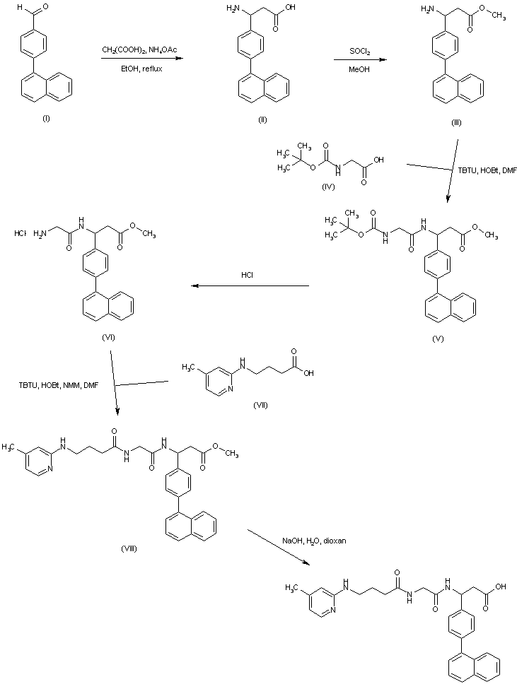
The 3-aryl-3-aminopropionic acid (II) was prepared by Knoevenagel condensation of 4-(1-naphthyl)benzaldehyde (I) with malonic acid in the presence of ammonium acetate. Subsequent esterification of (II) by means of thionyl chloride and methanol afforded the methyl ester (III). Coupling of amino ester (III) with N-Boc-glycine (IV) by means of TBTU and HOBt furnished amide (V). After acidic Boc group cleavage, the resultant dipeptide ester (VI) was acylated with 4-(4-methylpyridin-2-ylamino)butyric acid (VII), yielding tripeptide ester (VIII). The methyl ester group of (VIII) was finally hydrolyzed by NaOH in aqueous dioxan.

参考文献No.654250
标题:Nanomolar small molecule inhibitors for alphavbeta6, alphavbeta5, and +alphavbeta3 integrins
作者:Goodman, S.L.; H鰈zemann, G.; Sulyok, G.A.G.; Kessler, H.
来源:J Med Chem 2002,45(5),1045
合成路线图解说明:

The 3-aryl-3-aminopropionic acid (II) was prepared by Knoevenagel condensation of 4-(1-naphthyl)benzaldehyde (I) with malonic acid in the presence of ammonium acetate. Subsequent esterification of (II) by means of thionyl chloride and methanol afforded the methyl ester (III). Coupling of amino ester (III) with N-Boc-glycine (IV) by means of TBTU and HOBt furnished amide (V). After acidic Boc group cleavage, the resultant dipeptide ester (VI) was acylated with 4-(4-methylpyridin-2-ylamino)butyric acid (VII), yielding tripeptide ester (VIII). The methyl ester group of (VIII) was finally hydrolyzed by NaOH in aqueous dioxan.

Drug Information Express,Drug R&D,Chemical Database,Patent Search.
Copyright © 2006-2026 Drug Future. All rights reserved.Contact Us