【药物名称】SB-431542
化学结构式(Chemical Structure):
参考文献No.45376
标题:Triarylimidazoles
作者:Callahan, J.F.; Burgess, J.L. (GlaxoSmithKline Inc.)
来源:EP 1169317; JP 2002541253; US 6465493; WO 0061576
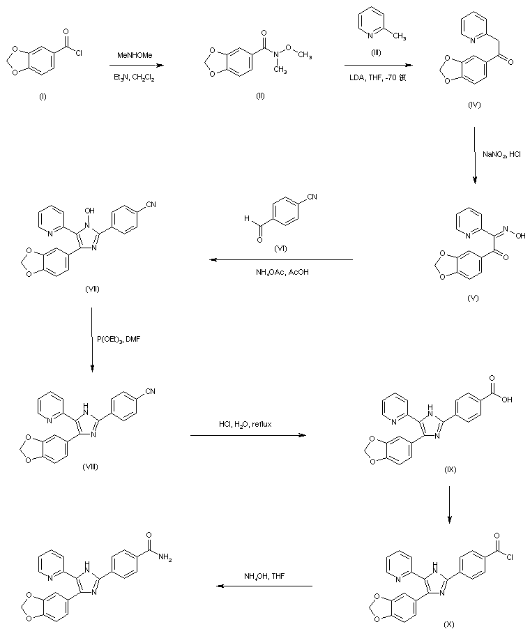
合成路线图解说明:

Reaction of piperonyloyl chloride (I) with N,O-dimethylhydroxylamine gives rise to the Weinreb amide (II). This is then condensed with the lithium anion of 2-picoline (III) to produce ketone (IV). Nitrosation of (IV) with NaNO2/HCl leads to keto oxime (V). Subsequent cyclization of (V) with p-formylbenzonitrile (VI) in the presence of ammonium acetate in AcOH affords the N-hydroxy imidazole (VII), which is further reduced to the triaryl imidazole (VIII) by means of triethyl phosphite in DMF. The cyano group of (VIII) is then hydrolyzed under acidic conditions to provide carboxylic acid (IX). After activation of (IX) as the corresponding acid chloride (X), treatment with ammonium hydroxide in THF yields the target carboxamide (1,2).

参考文献No.654248
标题:Identification of novel inhibitors of the transforming growth factor beta1 (TGF-beta1) type 1 receptor (ALK5)
作者:Callahan, J.F.; Burgess, J.L.; Fornwald, J.A.; Gaster, L.M.; Harling, J.D.; Harrington, F.P.; Heer, J.; Kwon, C.; Lehr, R.; Mathur, A.; Olson, B.A.; Weinstock, J.; Laping, N.J.
来源:J Med Chem 2002,45(5),999
合成路线图解说明:

Reaction of piperonyloyl chloride (I) with N,O-dimethylhydroxylamine gives rise to the Weinreb amide (II). This is then condensed with the lithium anion of 2-picoline (III) to produce ketone (IV). Nitrosation of (IV) with NaNO2/HCl leads to keto oxime (V). Subsequent cyclization of (V) with p-formylbenzonitrile (VI) in the presence of ammonium acetate in AcOH affords the N-hydroxy imidazole (VII), which is further reduced to the triaryl imidazole (VIII) by means of triethyl phosphite in DMF. The cyano group of (VIII) is then hydrolyzed under acidic conditions to provide carboxylic acid (IX). After activation of (IX) as the corresponding acid chloride (X), treatment with ammonium hydroxide in THF yields the target carboxamide (1,2).

Drug Information Express,Drug R&D,Chemical Database,Patent Search.
Copyright © 2006-2026 Drug Future. All rights reserved.Contact Us