【药物名称】
化学结构式(Chemical Structure):
参考文献No.53256
标题:Novel 1beta-methylcarbapenem derivs. and process for preparation thereof
作者:Kim, D.J.; Yoo, K.H.; Kang, Y.K.; Park, S.W.; Shin, K.J.; Seo, K.J. (Korea Institute of Science and Technology)
来源:WO 0202561
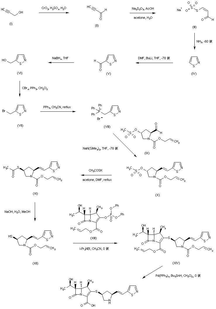
合成路线图解说明:

Propargyl alcohol (I) is oxidized with CrO3 under reduced pressure to give propynal (II), which is treated with sodium thiosulfate to afford the aldehyde dithionite (III). Subsequent cyclization of (III) in liquid ammonia gives rise to isothiazole (IV). The lithiated derivative of (IV) is formylated by means of DMF to provide aldehyde (V), which is further reduced to alcohol (VI) employing NaBH4 in THF (1). Bromination of alcohol (VI) in the presence of CBr4/PPh3 leads to 5-bromomethylisothiazole (VII). This is then converted into the phosphonium salt (VIII) upon treatment with triphenylphosphine in refluxing acetonitrile. Wittig condensation of (VIII) with the formyl pyrrolidine (IX) produces the ethenylpyrrolidine derivative (X). The mesylate group of (X) is displaced with potassium thioacetate to produce thioester (XI), which is subsequently hydrolyzed to thiol (XII) with methanolic NaOH. Condensation of thiol (XII) with the enol phosphate (XIII) in the presence of diisopropylethylamine affords the protected carbapenem derivative (XIV). This is finally deprotected with Bu3SnH and palladium catalyst to furnish the title compound (1,2)

参考文献No.716478
标题:Synthesis and biological evaluation of novel 1beta-methylcarbapenems with isothiazoloethenyl side chains
作者:Kang, Y.-K.; Lee, K.-S.; Yoo, K.-H.; Shin, K.-J.; Kim, D.-C.; Lee, C.-S.; Kong, J.Y.; Kim, D.J.
来源:Bioorg Med Chem Lett 2003,13(3),463
合成路线图解说明:

Propargyl alcohol (I) is oxidized with CrO3 under reduced pressure to give propynal (II), which is treated with sodium thiosulfate to afford the aldehyde dithionite (III). Subsequent cyclization of (III) in liquid ammonia gives rise to isothiazole (IV). The lithiated derivative of (IV) is formylated by means of DMF to provide aldehyde (V), which is further reduced to alcohol (VI) employing NaBH4 in THF (1). Bromination of alcohol (VI) in the presence of CBr4/PPh3 leads to 5-bromomethylisothiazole (VII). This is then converted into the phosphonium salt (VIII) upon treatment with triphenylphosphine in refluxing acetonitrile. Wittig condensation of (VIII) with the formyl pyrrolidine (IX) produces the ethenylpyrrolidine derivative (X). The mesylate group of (X) is displaced with potassium thioacetate to produce thioester (XI), which is subsequently hydrolyzed to thiol (XII) with methanolic NaOH. Condensation of thiol (XII) with the enol phosphate (XIII) in the presence of diisopropylethylamine affords the protected carbapenem derivative (XIV). This is finally deprotected with Bu3SnH and palladium catalyst to furnish the title compound (1,2)

Drug Information Express,Drug R&D,Chemical Database,Patent Search.
Copyright © 2006-2026 Drug Future. All rights reserved.Contact Us