【药物名称】C-6458
化学结构式(Chemical Structure):
参考文献No.654093
标题:Antioxidant activity of novel indole derivatives and protection of the myocardial damage in rabbits
作者:Andreadou, I.; Tasouli, A.; Bofilis, E.; Chrysselis, M.C.; Rekka, E.A.; Tsantili-Kakoulidou, A.; Iliodromitis, E.; Siatra, T.; Kremastinos, D.T.
来源:Chem Pharm Bull 2002,50(2),165
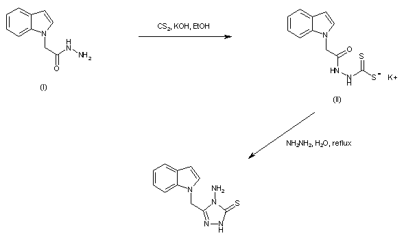
合成路线图解说明:

Condensation of indolyl acetohydrazide (I) with carbon disulfide in the presence of KOH afforded the potassium dithiocarbazate (II), which was further cyclized to the target aminotriazole thione upon refluxing with aqueous hydrazine.

Drug Information Express,Drug R&D,Chemical Database,Patent Search.
Copyright © 2006-2026 Drug Future. All rights reserved.Contact Us