【药物名称】
化学结构式(Chemical Structure):
参考文献No.654109
标题:Novel angular furo and thieno-quinolinones: Synthesis and preliminary photobiological studies
作者:Fossa, P.; Mosti, L.; Menozzi, G.; Marzano, C.; Baccichetti, F.; Bordin, F.
来源:Bioorg Med Chem 2002,10(3),743
合成路线图解说明:

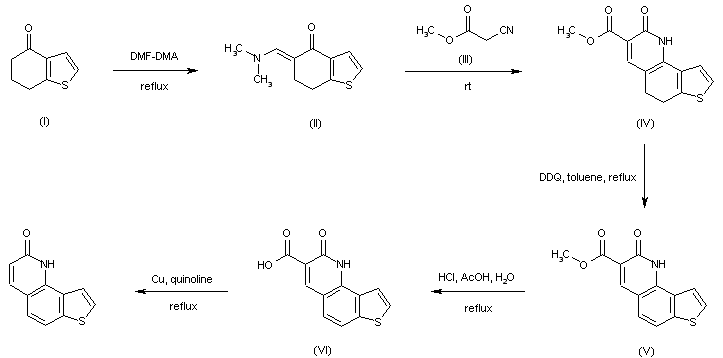
Enamino ketone (II) was synthesized by treatment of benzothiophenone (I) with dimethylformamide dimethylacetal. Condensation of (II) with methyl cyanoacetate (III) led to the pyridone-fused tricyclic system (IV), which was further aromatized to (V) using 2,3-dichloro-5,6-dicyano-1,4-benzoquinone. Ester group hydrolysis in (V) under acidic conditions afforded acid (VI). This was finally decarboxylated in refluxing quinoline in the presence of copper powder.

Drug Information Express,Drug R&D,Chemical Database,Patent Search.
Copyright © 2006-2026 Drug Future. All rights reserved.Contact Us