【药物名称】Labedipinedilol A
化学结构式(Chemical Structure):
参考文献No.53854
标题:Guaiacoxypropanolamines with alpha/beta-adrenergic blocking activity
作者:Lin, T.-H.; Chen, I.-J.
来源:EP 1108710; WO 0005209
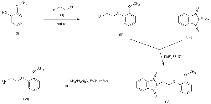
合成路线图解说明:

Guaiacol (I) was alkylated by means of boiling dibromoethane (II) to produce the bromoethyl ether (III). From this, the intermediate amine (VI) was prepared by Gabriel synthesis, via condensation with potassium phthalimide (IV) in hot DMF, followed by hydrazinolysis of the resultant N-substituted phthalimide (V).

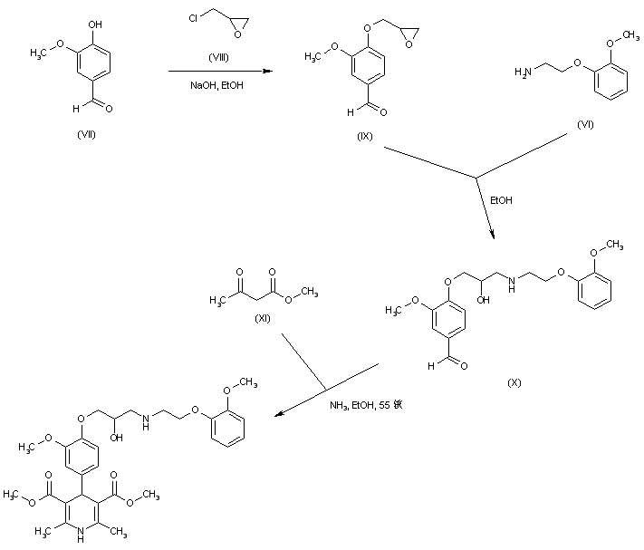
合成路线图解说明:

The condensation of vanillin (VII) with epichlorohydrin (VIII) in ethanolic NaOH produced the glycidyl ether (IX). Epoxide ring opening in (IX) by means of amine (VI) in EtOH furnished amino alcohol (X). The title dihydropyridine derivative was then obtained by reaction between aldehyde (X), methyl acetoacetate (XI), and ammonia under Hantzsch condensation conditions.

参考文献No.654107
标题:The new generation dihydropyridine type calcium blockers, bearing 4-phenyl oxypropanolamine, display alpha-/beta-adrenoceptor antagonist and long-acting antihypertensive activities
作者:Liang, J.-C.; Chen, I.-J.; Wang, C.-S.; Liou, S.-F.; Tsai, C.-H.; Yeh, J.-L.
来源:Bioorg Med Chem 2002,10(3),719
合成路线图解说明:

The condensation of vanillin (I) with epichlorohydrin (II) in ethanolic NaOH produced the glycidyl ether (III). Epoxide ring opening in (III) by means of tert-butylamine (IV) in EtOH furnished amino alcohol (V). The title dihydropyridine derivative was then obtained by reaction between aldehyde (V), methyl acetoacetate (VI), ammonia under Hantzsch condensation conditions, and was isolated after conversion to the hydrochloride salt.

合成路线图解说明:

The condensation of vanillin (VII) with epichlorohydrin (VIII) in ethanolic NaOH produced the glycidyl ether (IX). Epoxide ring opening in (IX) by means of amine (VI) in EtOH furnished amino alcohol (X). The title dihydropyridine derivative was then obtained by reaction between aldehyde (X), methyl acetoacetate (XI), and ammonia under Hantzsch condensation conditions.

Drug Information Express,Drug R&D,Chemical Database,Patent Search.
Copyright © 2006-2026 Drug Future. All rights reserved.Contact Us