【药物名称】
化学结构式(Chemical Structure):
参考文献No.651724
标题:Pyridophens: Binary pyridostigmine-aprophen prodrugs with differential inhibition of acetylcholinesterase, butyrylcholinesterase, and muscarinic receptors
作者:Leader, H.; Wolfe, A.D.; Chiang, P.K.; Gordon, R.K.
来源:J Med Chem 2002,45(4),902
合成路线图解说明:

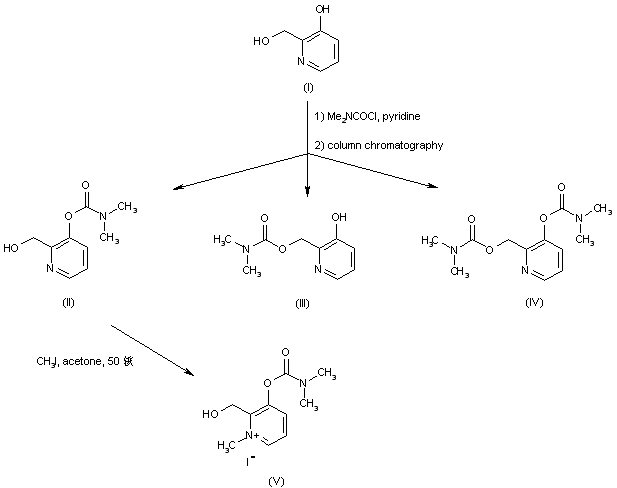
The carbamylation of 3-hydroxy-2-(hydroxymethyl)pyridine (I) with dimethylcarbamyl chloride produced a mixture of the desired 3-carbamate (II) along with the isomeric 2-carbamate (III) and the bis-carbamyl derivative (IV), which were separated by column chromatography. Methylation of (II) with iodomethane in hot acetone afforded the N-methyl pyridinium salt (V).

合成路线图解说明:

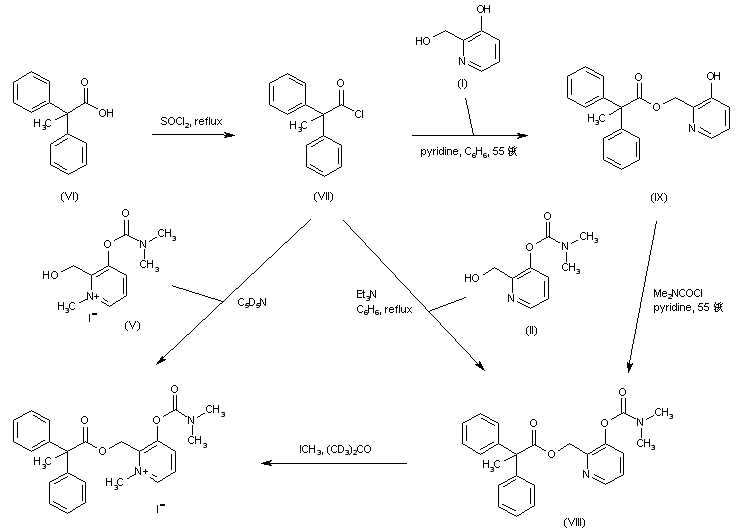
The synthesis of the title compound has been achieved by several related procedures. Acid chloride (VII) was prepared by chlorination of 2,2-diphenylpropionic acid (VI) in refluxing SOCl2. Condensation of (VII) with the (hydroxymethyl)pyridine 3-carbamate (II) provided the corresponding ester (VIII). This compound was also obtained by acylation of 3-hydroxy-2-(hydroxymethyl)pyridine (I) with acid chloride (VII), followed by carbamylation of the resultant hydroxy ester (IX). Quaternization of pyridine (VIII) with iodomethane in deuterated acetone furnished the target N-methylpyridinium salt. The title compound was alternatively prepared by condensation between acid chloride (VII) and the pyridinium alcohol (V) in deuterated pyridine.

Drug Information Express,Drug R&D,Chemical Database,Patent Search.
Copyright © 2006-2026 Drug Future. All rights reserved.Contact Us