【药物名称】KF-31327
化学结构式(Chemical Structure):
参考文献No.36032
标题:Imidazoquinazoline derivs.
作者:Onoda, Y.; Nomoto, Y.; Ohno, T.; Yamada, K.; Ichimura, M. (Kyowa Hakko Kogyo Co., Ltd.)
来源:EP 0863144; WO 9808848
合成路线图解说明:

The condensation between 2-fluorobenzonitrile (I) and ethyl isonipecotate (II) produced the piperidino benzonitrile (III). Reduction of nitrile and ester functions of (III) to afford the intermediate amino alcohol (IV) was accomplished using either LiAlH4 or, in a more practical, scalable procedure, using NaBH4/ZnCl2.

合成路线图解说明:

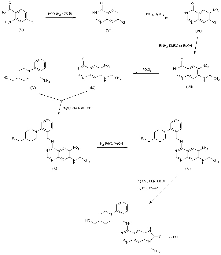
Quinazolinone (VI) was prepared by condensation of 4-chloroanthranilic acid (V) with hot formamide. Subsequent electrophilic nitration of (VI) provided the 6-nitroquinazolinone (VII) as the major regioisomer. Displacement of the 7-chloro of (VII) upon heating with ethylamine in a sealed tube gave rise to the nitro amine (VIII). The 4-chloroquinazoline derivative (IX) was then obtained by chlorination of (VIII) with phosphorus oxychloride. Condensation of (IX) with the intermediate benzylamine (IV) furnished adduct (X). The nitro group of (X) was then reduced by catalytic hydrogenation to yield the phenylenediamine derivative (XI). Finally, condensation of phenylenediamine (XI) with carbon disulfide in the presence of Et3N generated the target imidazoquinazoline, which was isolated as the dihydrochloride salt.

参考文献No.579606
标题:Process development of a PDE V inhibitor KF31327
作者:Fujino, K.; et al.
来源:219th ACS Natl Meet (March 26 2000, San Francisco) 2000,Abst ORGN 612
合成路线图解说明:

The condensation between 2-fluorobenzonitrile (I) and ethyl isonipecotate (II) produced the piperidino benzonitrile (III). Reduction of nitrile and ester functions of (III) to afford the intermediate amino alcohol (IV) was accomplished using either LiAlH4 or, in a more practical, scalable procedure, using NaBH4/ZnCl2.

合成路线图解说明:

Quinazolinone (VI) was prepared by condensation of 4-chloroanthranilic acid (V) with hot formamide. Subsequent electrophilic nitration of (VI) provided the 6-nitroquinazolinone (VII) as the major regioisomer. Displacement of the 7-chloro of (VII) upon heating with ethylamine in a sealed tube gave rise to the nitro amine (VIII). The 4-chloroquinazoline derivative (IX) was then obtained by chlorination of (VIII) with phosphorus oxychloride. Condensation of (IX) with the intermediate benzylamine (IV) furnished adduct (X). The nitro group of (X) was then reduced by catalytic hydrogenation to yield the phenylenediamine derivative (XI). Finally, condensation of phenylenediamine (XI) with carbon disulfide in the presence of Et3N generated the target imidazoquinazoline, which was isolated as the dihydrochloride salt.

合成路线图解说明:

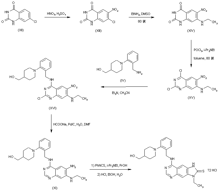
In an improved procedure, commercial 7-chloroquinazolinedione (XII) was nitrated to (XIII) using 60% HNO3 in the presence of H2SO4. Subsequent chloro displacement in (XIII) with ethylamine in hot DMSO furnished nitro amine (XIV). Chlorination of quinazolinedione (XIV) to the dichloro derivative (XV) was carried out by means of POCl3 in the presence of diisopropylethylamine in hot toluene. The 4-chloro group of (XV) was regioselectively displaced by the intermediate benzylamine (IV) yielding (XVI). Simultaneous reduction of the nitro and chloro groups of (XVI) by transfer hydrogenation provided the phenylenediamine (XI). The imidazothione ring was finally constructed by condensation of (XI) with phenyl isothiocyanate.

参考文献No.652364
标题:Development of a practical synthetic route of a PDE V inhibitor KF31327
作者:Fujino, K.; et al.
来源:Org Process Res Dev 2001,5(4),426
合成路线图解说明:

The condensation between 2-fluorobenzonitrile (I) and ethyl isonipecotate (II) produced the piperidino benzonitrile (III). Reduction of nitrile and ester functions of (III) to afford the intermediate amino alcohol (IV) was accomplished using either LiAlH4 or, in a more practical, scalable procedure, using NaBH4/ZnCl2.

合成路线图解说明:

Quinazolinone (VI) was prepared by condensation of 4-chloroanthranilic acid (V) with hot formamide. Subsequent electrophilic nitration of (VI) provided the 6-nitroquinazolinone (VII) as the major regioisomer. Displacement of the 7-chloro of (VII) upon heating with ethylamine in a sealed tube gave rise to the nitro amine (VIII). The 4-chloroquinazoline derivative (IX) was then obtained by chlorination of (VIII) with phosphorus oxychloride. Condensation of (IX) with the intermediate benzylamine (IV) furnished adduct (X). The nitro group of (X) was then reduced by catalytic hydrogenation to yield the phenylenediamine derivative (XI). Finally, condensation of phenylenediamine (XI) with carbon disulfide in the presence of Et3N generated the target imidazoquinazoline, which was isolated as the dihydrochloride salt.

合成路线图解说明:

In an improved procedure, commercial 7-chloroquinazolinedione (XII) was nitrated to (XIII) using 60% HNO3 in the presence of H2SO4. Subsequent chloro displacement in (XIII) with ethylamine in hot DMSO furnished nitro amine (XIV). Chlorination of quinazolinedione (XIV) to the dichloro derivative (XV) was carried out by means of POCl3 in the presence of diisopropylethylamine in hot toluene. The 4-chloro group of (XV) was regioselectively displaced by the intermediate benzylamine (IV) yielding (XVI). Simultaneous reduction of the nitro and chloro groups of (XVI) by transfer hydrogenation provided the phenylenediamine (XI). The imidazothione ring was finally constructed by condensation of (XI) with phenyl isothiocyanate.

Drug Information Express,Drug R&D,Chemical Database,Patent Search.
Copyright © 2006-2026 Drug Future. All rights reserved.Contact Us