【药物名称】GL-179101
化学结构式(Chemical Structure):
参考文献No.53143
标题:Novel cpds. possessing antibacterial, antifungal or antitumor activity
作者:Nelson, P.H.; Muchowski, J.M.; Dyatkina, N.B.; Shi, D.-F.; Zhang, W.; Liehr, S.J.R.; Velligan, M.D.; Botyanszki, J.; Roberts, C.D.; Khorlin, A. (Genelabs Technologies, Inc.)
来源:WO 0200650
合成路线图解说明:

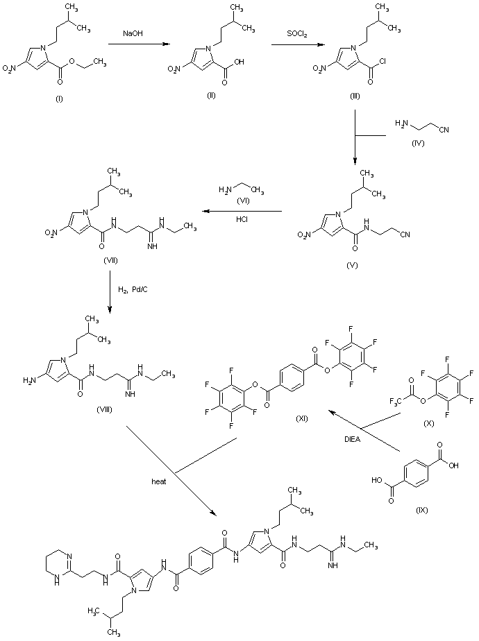
The hydrolysis of the 1-isopentyl-4-nitro-1H-pyrrole-2-carboxylic acid ethyl ester (I) with NaOH in hot ethanol gives the carboxylic acid (II), which is treated with refluxing SOCl2 to yield the acyl chloride (III). The reaction of (III) with 3-aminopropionitrile (IV) in toluene affords the carboxamide (V), which is treated with propane-1,3-diamine (VI) and HCl in ethanol to provide the tetrahydropyrimidine derivative (VII). The reduction of the nitro group of (VII) with H2 over Pd/C in methanol gives the aminopyrrole (VIII), which is finally condensed with bis pentafluorophenyl terephthalate (XI) to afford the target terephthalamide. The activated ester bis pentafluorophenyl terephthalate (XI) has been obtained by esterification of terephthalic acid (IX) with pentafluorophenyl trifluoroacetate (X) by means of DIEA in DMF.

合成路线图解说明:

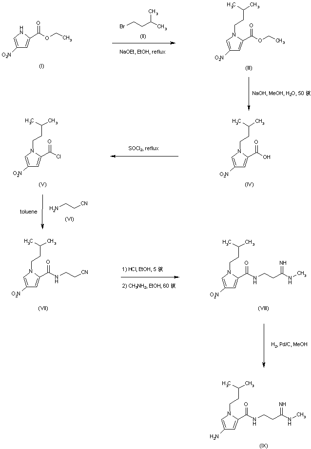
Alkylation of ethyl 4-nitropyrrole-2-carboxylate (I) with 3-methylbutyl bromide (II) in the presence of NaOMe affords the N-isoamyl pyrrole (III). Saponification of the ethyl ester group of (III), followed by treatment of the resultant carboxylic acid (IV) with SOCl2 provides acid chloride (V). This is subsequently coupled with 3-aminopropionitrile (VI) to yield the N-(2-cyanoethyl) amide (VII). Conversion of the cyano group of (VII) into the N-methyl amidine (VIII) is then accomplished under Pinner reaction conditions. Reduction of the nitro group of (VIII) by catalytic hydrogenation over Pd/C furnishes the intermediate aminopyrrole (IX).

合成路线图解说明:

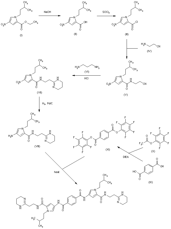
The hydrolysis of the 1-isopentyl-4-nitro-1H-pyrrole-2-carboxylic acid ethyl ester (I) with NaOH in hot ethanol gives the carboxylic acid (II), which is treated with refluxing SOCl2 to yield the acyl chloride (III). The reaction of (III) with 3-aminopropionitrile (IV) in toluene affords the carboxamide (V), which is treated with ethylamine (VI) and HCl in ethanol to provide the N-ethylamidino derivative (VII). The reduction of the nitro group of (VII) with H2 over Pd/C in methanol gives the aminopyrrole (VIII), which is finally condensed with bis pentafluorophenyl terephthalate (XI) to afford the target terephthalamide. The activated ester bis pentafluorophenyl terephthalate (XI) has been obtained by esterification of terephthalic acid (IX) with pentafluorophenyl trifluoroacetate (X) by means of DIEA in DMF.

参考文献No.651717
标题:Minor groove DNA binders as antimicrobial agents. 1. Pyrrole tetraamides are potent antibacterials against vancomycin resistant Enteroccoci and methicillin resistant Staphylococcus aureus
作者:Dyatkina, N.B.; Roberts, C.D.; Keicher, J.D.; Dai, Y.; Nadherny, J.P.; Zhang, W.; Schmitz, U.; Kongpachith, A.; Fung, K.; Novikov, A.A.; Lou, L.; Velligan, M.; Khorlin, A.A.; Chen, M.S.
来源:J Med Chem 2002,45(4),805
合成路线图解说明:

The hydrolysis of the 1-isopentyl-4-nitro-1H-pyrrole-2-carboxylic acid ethyl ester (I) with NaOH in hot ethanol gives the carboxylic acid (II), which is treated with refluxing SOCl2 to yield the acyl chloride (III). The reaction of (III) with 3-aminopropionitrile (IV) in toluene affords the carboxamide (V), which is treated with propane-1,3-diamine (VI) and HCl in ethanol to provide the tetrahydropyrimidine derivative (VII). The reduction of the nitro group of (VII) with H2 over Pd/C in methanol gives the aminopyrrole (VIII), which is finally condensed with bis pentafluorophenyl terephthalate (XI) to afford the target terephthalamide. The activated ester bis pentafluorophenyl terephthalate (XI) has been obtained by esterification of terephthalic acid (IX) with pentafluorophenyl trifluoroacetate (X) by means of DIEA in DMF.

合成路线图解说明:

Alkylation of ethyl 4-nitropyrrole-2-carboxylate (I) with 3-methylbutyl bromide (II) in the presence of NaOMe affords the N-isoamyl pyrrole (III). Saponification of the ethyl ester group of (III), followed by treatment of the resultant carboxylic acid (IV) with SOCl2 provides acid chloride (V). This is subsequently coupled with 3-aminopropionitrile (VI) to yield the N-(2-cyanoethyl) amide (VII). Conversion of the cyano group of (VII) into the N-methyl amidine (VIII) is then accomplished under Pinner reaction conditions. Reduction of the nitro group of (VIII) by catalytic hydrogenation over Pd/C furnishes the intermediate aminopyrrole (IX).

合成路线图解说明:

Treatment of terephthalic acid (X) with pentafluorophenyl trifluoroacetate gives rise to the bis-pentafluorophenyl ester (XI). Then, coupling of the active ester (XI) with aminopyrrole (IX) in hot DMF yields the title terephthalic diamide.

合成路线图解说明:

The hydrolysis of the 1-isopentyl-4-nitro-1H-pyrrole-2-carboxylic acid ethyl ester (I) with NaOH in hot ethanol gives the carboxylic acid (II), which is treated with refluxing SOCl2 to yield the acyl chloride (III). The reaction of (III) with 3-aminopropionitrile (IV) in toluene affords the carboxamide (V), which is treated with ethylamine (VI) and HCl in ethanol to provide the N-ethylamidino derivative (VII). The reduction of the nitro group of (VII) with H2 over Pd/C in methanol gives the aminopyrrole (VIII), which is finally condensed with bis pentafluorophenyl terephthalate (XI) to afford the target terephthalamide. The activated ester bis pentafluorophenyl terephthalate (XI) has been obtained by esterification of terephthalic acid (IX) with pentafluorophenyl trifluoroacetate (X) by means of DIEA in DMF.

Drug Information Express,Drug R&D,Chemical Database,Patent Search.
Copyright © 2006-2026 Drug Future. All rights reserved.Contact Us