【药物名称】
化学结构式(Chemical Structure):
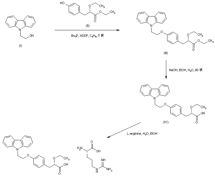
参考文献No.651716
标题:Novel tricyclic-alpha-alkyloxyphenylpropionic acids: Dual PPAR/gamma alpha agonists with hypolipidemic and antidiabetic activity
作者:Sauerberg, P.; Pettersson, I.; Jeppesen, L.; Bury, P.S.; Mogensen, J.P.; Wassermann, K.; Brand, C.L.; Sturis, J.; Woldike, H.F.; Fleckner, J.; Andersen, A.S.; Mortensen, S.B.; Svensson, L.A.; Rasmussen, H.B.; Lehmann, S.V.; Polivka, Z.; et al.
来源:J Med Chem 2002,45(4),789
合成路线图解说明:

Condensation of 2-(carbazol-9-yl)ethanol (I) with (S)-ethyl 2-ethoxy-3-(4-hydroxyphenyl)propionate (II) under Mitsunobu conditions using tributylphosphine and 1,1'-(azodicarbonyl)dipiperidine gave ether (III). Basic hydrolysis of the ethyl ester group of (III) provided carboxylic acid (IV), which was finally isolated as the corresponding arginine salt.

Drug Information Express,Drug R&D,Chemical Database,Patent Search.
Copyright © 2006-2026 Drug Future. All rights reserved.Contact Us