【药物名称】
化学结构式(Chemical Structure):
参考文献No.651714
标题:DNA cleavage potency, cytotoxicity, and mechanism of action of a novel class of enediyne prodrugs
作者:Dai, W.-M.; Lai, W.L.; Wu, A.; Hamaguchi, W.; Lee, M.Y.H.; Zhou, L.; Ishii, A.; Nishimoto, S.-I.
来源:J Med Chem 2002,45(4),758
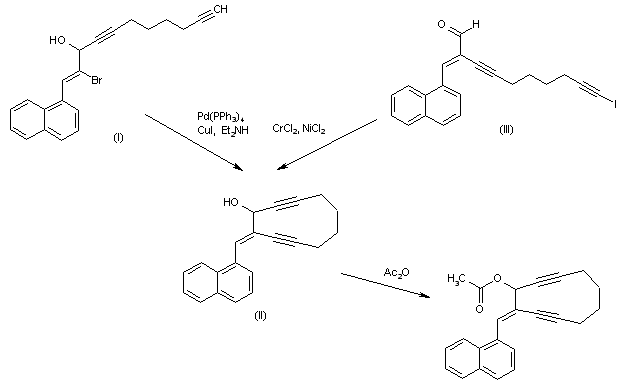
合成路线图解说明:

The cyclization of 2-bromo-1-(1-naphthyl)undec-1-en-4,10-diyn-3-ol (I) by means of Pd(PPh3)4, CuI and Et2NH in hot acetonitrile gives the cyclodecadiyne derivative (II), which is acylated with acetic anhydride and DMAP in dichloromethane to yield the target acetate ester. Alternatively, the intermediate cyclodecadiyne derivative (II) can also be obtained by cyclization of 10-iodo-2-(1-naphthylmethylene)deca-3,9-diyn-1-al (III) by means of CrCl2 and NiCl2 in THF.

Drug Information Express,Drug R&D,Chemical Database,Patent Search.
Copyright © 2006-2026 Drug Future. All rights reserved.Contact Us