【药物名称】
化学结构式(Chemical Structure):
参考文献No.40889
标题:2-Methylpropionic acid derivs. and medicinal compsns. containing the same
作者:Sato, M.; Tanaka, N.; Akahane, M.; Tamai, T.; Muranaka, H.; Mukaiyama, H.; Hiribayashi, A. (Kissei Pharmaceutical Co., Ltd.)
来源:EP 1072583; WO 9952856
合成路线图解说明:

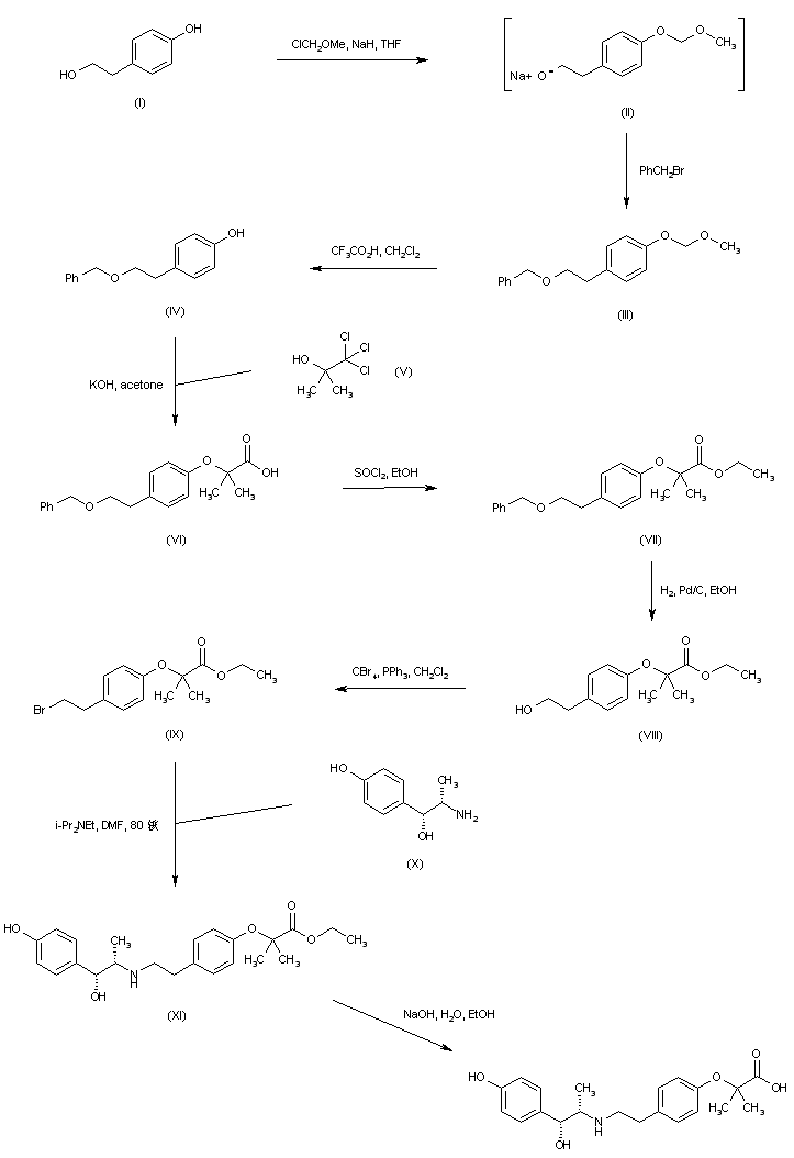
2-(4-Hydroxyphenyl)ethanol (I) was protected at the aliphatic hydroxyl group by the following sequence. Reaction of (I) with methoxymethyl chloride and NaH blocked the phenolic hydroxyl as the methoxymethyl ether (II), which was subsequently treated with benzyl bromide to produce the fully protected compound (III). Further hydrolysis of the methoxymethyl ether using trifluoroacetic acid gave rise to 4-(2-benzyloxyethyl)phenol (IV). Condensation of phenol (IV) with 1,1,1-trichloro-2-methyl-2-propanol (V) under basic conditions generated the 2-(aryloxy)isobutyric acid (VI). After esterification of (VI) with SOCl2 in EtOH to give (VII), its O-benzyl protecting group was removed by catalytic hydrogenation to produce (VIII). Alcohol (VIII) was then converted into alkyl bromide (IX) by using CBr4 and PPh3. Alkylation of (-)-4'-hydroxynorephedrine (X) with bromide (IX) in hot DMF afforded the secondary amine (XI). The ethyl ester group of (XI) was finally hydrolyzed with NaOH to the title carboxylic acid.

参考文献No.650767
标题:beta(3)- Adrenoceptor agonists for the treatment of frequent urination and urinary incontinence: 2-[4-(2-[[1S,2R)-2- hydroxy-2-(4- hydroxyphenyl)-1-methylethyl]ethyl) phenoxy]-2-methylpropionic acid
作者:Tanaka, N.; Tamai, T.; Mukaiyama, H.; Hirabayashi, A.; Muranaka, H.; Ishikawa, T.; Akahane, S.; Akahane, M.
来源:Bioorg Med Chem 2001,9(12),3265
合成路线图解说明:

2-(4-Hydroxyphenyl)ethanol (I) was protected at the aliphatic hydroxyl group by the following sequence. Reaction of (I) with methoxymethyl chloride and NaH blocked the phenolic hydroxyl as the methoxymethyl ether (II), which was subsequently treated with benzyl bromide to produce the fully protected compound (III). Further hydrolysis of the methoxymethyl ether using trifluoroacetic acid gave rise to 4-(2-benzyloxyethyl)phenol (IV). Condensation of phenol (IV) with 1,1,1-trichloro-2-methyl-2-propanol (V) under basic conditions generated the 2-(aryloxy)isobutyric acid (VI). After esterification of (VI) with SOCl2 in EtOH to give (VII), its O-benzyl protecting group was removed by catalytic hydrogenation to produce (VIII). Alcohol (VIII) was then converted into alkyl bromide (IX) by using CBr4 and PPh3. Alkylation of (-)-4'-hydroxynorephedrine (X) with bromide (IX) in hot DMF afforded the secondary amine (XI). The ethyl ester group of (XI) was finally hydrolyzed with NaOH to the title carboxylic acid.

合成路线图解说明:

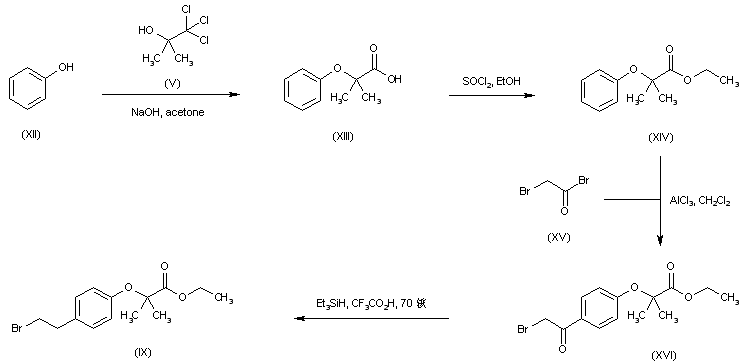
An alternative route to the intermediate bromide (IX) has been reported. Condensation of phenol (XII) with 1,1,1-trichloro-2-methyl-2-propanol (V) led to 2-phenoxyisobutyric acid (XIII), which was further esterified by treatment with SOCl2 in EtOH to yield (XIV). Friedel-Crafts acylation of (XIV) with bromoacetyl bromide (XV) in the presence of AlCl3 provided the phenacyl bromide (XVI). The corresponding phenethyl bromide (IX) was then obtained by reduction of ketone (XVI) with triethylsilane in trifluoroacetic acid.

Drug Information Express,Drug R&D,Chemical Database,Patent Search.
Copyright © 2006-2026 Drug Future. All rights reserved.Contact Us