【药物名称】CP-358
化学结构式(Chemical Structure):
参考文献No.650879
标题:Design, synthesis, and evaluation of novel 2-substituted 3-hydroxypyridin-4-ones: Structure-activity investigation of metalloenzyme inhibition by iron chelators
作者:Liu, Z.D.; Kayyali, R.; Hider, R.C.; Porter, J.B.; Theobald, A.E.
来源:J Med Chem 2002,45(3),631
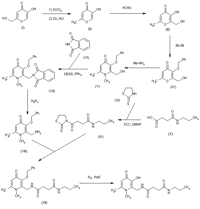
合成路线图解说明:

The reaction of 5-hydroxy-2-(hydroxymethyl)-4H-pyran-4-one (I) with SOCl2, followed by dechlorination with Zn/HCl, gives 5-hydroxy-2-methyl-4H-pyran-4-one (II), which is condensed with formaldehyde to yield 3-hydroxy-2-(hydroxymethyl)-6-methyl-4H-pyran-4-one (III). The protection of the aromatic OH group of (III) with Bn-Br affords the benzyl ether (IV), which is treated with methylamine to provide the corresponding 4-pyridone (V). The reaction of the OH group of (V) with phthalimide (VI) by means of DEAD and PPh3 gives the expected phthalimido derivative (VII), which is cleaved with hydrazine to yield the aminomethyl derivative (VIII). The condensation of the amino group of (VIII) with the activated amide (IX) (obtained by condensation of N-propylsuccinamic acid (X) with 2-thiazolidinone (XI) by means of DCC and DMAP) affords the adduct (XII), which is finally debenzylated by hydrogenation with H2 over Pd/C to provide the target succinamide derivative.

Drug Information Express,Drug R&D,Chemical Database,Patent Search.
Copyright © 2006-2026 Drug Future. All rights reserved.Contact Us