【药物名称】MW01-070C
化学结构式(Chemical Structure):
参考文献No.650862
标题:Discovery of a 3-amino-6-phenyl-pyridazine derivative as a new synthetic antineuroinflammatory compound
作者:Mirzoeva, S.; Sawkar, A.; Zasadzki, M.; Guo, L.; Velentza, A.V.; Dunlap, V.; Bourguignon, J.J.; Ramstrom, H.; Haiech, J.; Van Eldik, L.J.; Watterson, D.M.
来源:J Med Chem 2002,45(3),563
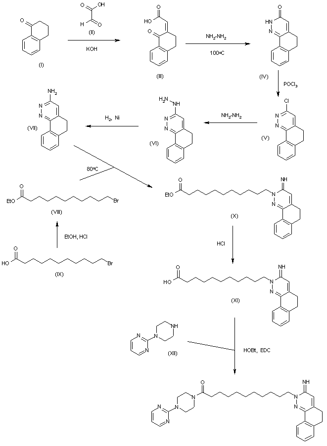
合成路线图解说明:

The condensation of 1-tetralone (I) with 2-oxoacetic acid (II) by means of KOH gives 2-(1-oxo-1,2,3,4-tetrahydronaphthalen-2-ylidene)acetic acid (III), which is cyclized with hydrazine in hot butanol to yield the tricyclic pyridazinone (IV). The treatment of (IV) with hot POCl3 gives the chloropyridazine derivative (V), which is treated with hydrazine in boiling water to provide the hydrazino derivative (VI). The hydrogenation of (VI) with H2 over Ni in methanol gives the aminopyridazine derivative (VII), which is condensed with ethyl 11-bromoundecanoate (VIII) (prepared by esterification of the corresponding acid (IX) with Et-OH/HCl) in hot DMF to yield the adduct (X). The hydrolysis of (X) with HCl in hot HOAc affords the corresponding acid (XI), which is finally condensed with 1-(2-pyrimidinyl)piperazine (XII) by means of HOBt and EDC in DMF to provide the target amide.

Drug Information Express,Drug R&D,Chemical Database,Patent Search.
Copyright © 2006-2026 Drug Future. All rights reserved.Contact Us