【药物名称】
化学结构式(Chemical Structure):
参考文献No.42658
标题:Inhibitors of protein tyrosine phosphatase
作者:Bleasdale, J.; May, P.D.; Schostarez, H.J.; Barf, T.; Larsen, S.D.; Liljebris, C. (Pharmacia Corp.)
来源:WO 9911606
合成路线图解说明:

Coupling of N-Cbz-tyrosine (I) with n-pentylamine (II) afforded amide (III). Subsequent alkylation of the phenol group of (III) with diethyl chloromalonate (IV) gave phenoxy malonate (V). Hydrogenolytical deprotection of the N-Cbz group of (V) provided the corresponding amine, which was isolated as the hydrochloride salt (VI). Conversion of (VI) to isocyanate (VII) was effected by treatment with diphosgene in the presence of Proton Sponge(r). Addition of phenylalanine ethyl ester (VIII) to isocyanate (VII) furnished urea (IX). Finally, the ethyl ester groups of (IX) were saponified with LiOH to yield the title compound.

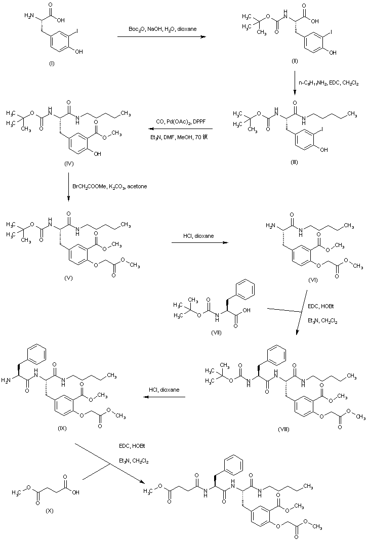
合成路线图解说明:

3-Iodo-L-tyrosine (I) was protected as the N-Boc derivative (II) and subsequently coupled to n-pentylamine yielding amide (III). Palladium-catalyzed carboxylation of the aryl iodide of (III) in the presence of MeOH afforded the methyl ester (IV). The phenolic hydroxyl group of (IV) was then alkylated with methyl bromoacetate under basic conditions to produce diester (V). Acidic Boc group cleavage in (V), followed by acylation of the resulting amine (VI) with N-Boc-L-phenylalanine (VII), generated the dipeptide derivative (VIII). Further deprotection of (VIII) with HCl in dioxane yielded amine (IX), which was finally coupled with succinic acid mono-methyl ester (X) to provide the title compound.

参考文献No.650864
标题:Synthesis and biological acrivity of a novel class of small molecular weight peptidomimetic competitive inhibitors of protein tyrosine phosphatase 1B
作者:Larse, S.D.; Barf, T.; Liljebris, C.; May, P.D.; Ogg, D.; O'Sullivan, T.J.; Palazuk, B.J.; Schostarez, H.J.; Stevens, F.C.; Bleasdale, J.E.
来源:J Med Chem 2002,45(3),598
合成路线图解说明:

3-Iodo-L-tyrosine (I) was protected as the N-Boc derivative (II) and subsequently coupled to n-pentylamine yielding amide (III). Palladium-catalyzed carboxylation of the aryl iodide of (III) in the presence of MeOH afforded the methyl ester (IV). The phenolic hydroxyl group of (IV) was then alkylated with methyl bromoacetate under basic conditions to produce diester (V). Acidic Boc group cleavage in (V), followed by acylation of the resulting amine (VI) with N-Boc-L-phenylalanine (VII), generated the dipeptide derivative (VIII). Further deprotection of (VIII) with HCl in dioxane yielded amine (IX), which was finally coupled with succinic acid mono-methyl ester (X) to provide the title compound.

Drug Information Express,Drug R&D,Chemical Database,Patent Search.
Copyright © 2006-2026 Drug Future. All rights reserved.Contact Us