【药物名称】
化学结构式(Chemical Structure):
参考文献No.650866
标题:Synthesis and evaluation of potent and selective beta3 adrenergic receptor agonists containing acylsulfonamide, sulfonylsulfonamide, and sulfonylurea carboxylic acid isosteres
作者:Uehling, D.E.; Donaldson, K.H.; Deaton, D.N.; Hyman, C.E.; Sugg, E.E.; Barret, D.G.; Hughes, R.G.; Reitter, B.; Adkison, K.K.; Lancaster, M.E.; Lee, F.; Hart, R.; Paulik, M.A.; Sherman, B.W.; True, T.; Cowan, C.
来源:J Med Chem 2002,45(3),567
合成路线图解说明:

Esterification of (R)-3-chloromandelic acid (I) with MeOH and H2SO4 to yield ether (II), followed by hydroxyl group silylation using t-butyldimethylsilyl chloride and imidazole furnished (III). Reduction of the ester function of (III) by means of DIBAL produced aldehyde (IV), which was subjected to reductive amination with D-alanine methyl ester (V) to produce amino ester (VI). After protection of the amino group of (VI) as the N-Boc derivative (VII), further DIBAL reduction of the ester group afforded aldehyde (VIII).

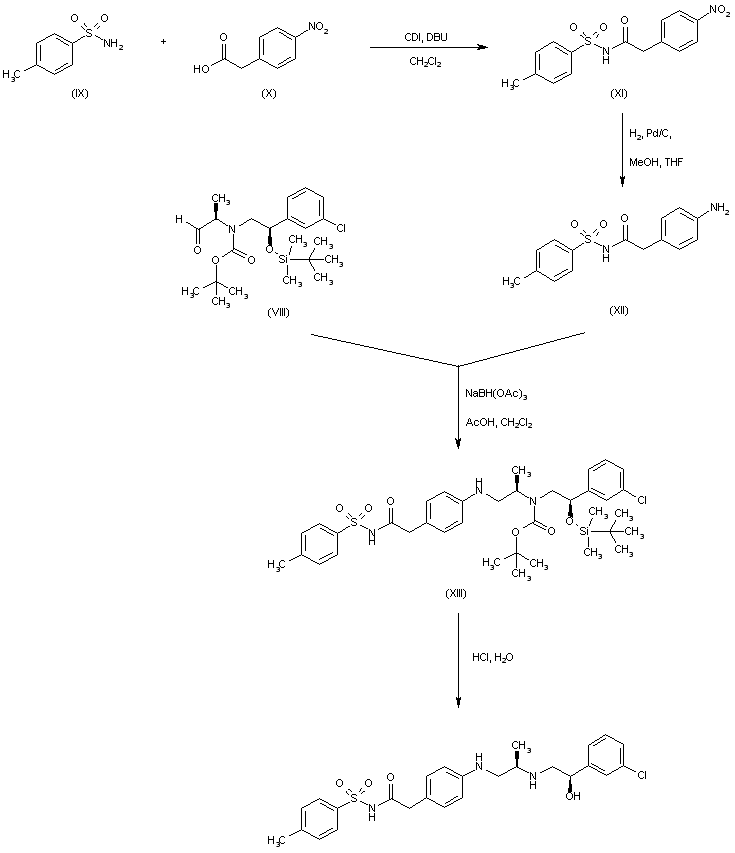
合成路线图解说明:

Coupling of p-nitrophenylacetic acid (IX) with p-toluenesulfonamide (X) using CDI provided the N-acyl sulfonamide (XI). The nitro group of (XI) was then reduced by catalytic hydrogenation to furnish aniline (XII). Reductive condensation of aniline (XII) with aldehyde (VIII) in the presence of NaBH(OAc)3 gave rise to amine (XIII). Finally, simultaneous removal of the O-silyl and N-Boc protecting groups of (XIII) was accomplished by treatment with 4 N aqueous HCl.

Drug Information Express,Drug R&D,Chemical Database,Patent Search.
Copyright © 2006-2026 Drug Future. All rights reserved.Contact Us