【药物名称】Wy-14643
化学结构式(Chemical Structure):
参考文献No.804036
标题:Wy - 14643
作者:Casta馿r, J.; Paton, D.M.
来源:Drugs Fut 1978,3(5),404
合成路线图解说明:

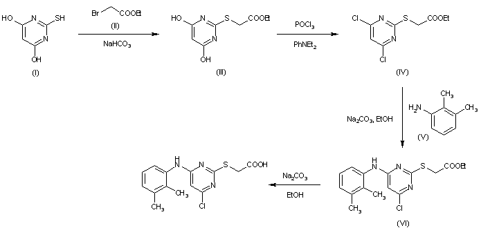
The reaction of 2-thiobarbituric acid (I) with ethyl bromoacetate (II) by means of NaHCO3 in ethanol - water gives ethyl-(4,6-dihydroxy-2-pyrimidinylthio)acetate (III), which by halogenation with POCl3 and N,N-diethylaniline yields ethyl (4,6-dichloro-2-pyrimidinylthio)acetate (IV). The condensation of (IV) with 2,3-dimethylaniline (V) by means of Na2CO3 in refluxing ethanol affords ethyl [4-chloro-6-(2,3-xylidino)-2-pyrimidinylthio]acetate (VI), which is finally hydrolyzed with Na2CO3 in refluxing ethanol. Description.- Crystals, m.p. 146-51 C; Na salt, m.p. 183 C (decomp.).

参考文献No.804037
标题:Natural product resveratrol: Novel sensitizer of tumor cells for TRAIL- or cytotoxic drug-induced apoptosis by cell cycle-mediated survivin depletion
作者:Santilli, A.A.; et al.
来源:Experientia 1974,30(10),1110
合成路线图解说明:

The reaction of 2-thiobarbituric acid (I) with ethyl bromoacetate (II) by means of NaHCO3 in ethanol - water gives ethyl-(4,6-dihydroxy-2-pyrimidinylthio)acetate (III), which by halogenation with POCl3 and N,N-diethylaniline yields ethyl (4,6-dichloro-2-pyrimidinylthio)acetate (IV). The condensation of (IV) with 2,3-dimethylaniline (V) by means of Na2CO3 in refluxing ethanol affords ethyl [4-chloro-6-(2,3-xylidino)-2-pyrimidinylthio]acetate (VI), which is finally hydrolyzed with Na2CO3 in refluxing ethanol. Description.- Crystals, m.p. 146-51 C; Na salt, m.p. 183 C (decomp.).

参考文献No.900251
标题:
作者:Santilli, A.A.; et al. (American Home Products Corp.)
来源:US 3910910
合成路线图解说明:

The reaction of 2-thiobarbituric acid (I) with ethyl bromoacetate (II) by means of NaHCO3 in ethanol - water gives ethyl-(4,6-dihydroxy-2-pyrimidinylthio)acetate (III), which by halogenation with POCl3 and N,N-diethylaniline yields ethyl (4,6-dichloro-2-pyrimidinylthio)acetate (IV). The condensation of (IV) with 2,3-dimethylaniline (V) by means of Na2CO3 in refluxing ethanol affords ethyl [4-chloro-6-(2,3-xylidino)-2-pyrimidinylthio]acetate (VI), which is finally hydrolyzed with Na2CO3 in refluxing ethanol. Description.- Crystals, m.p. 146-51 C; Na salt, m.p. 183 C (decomp.).

参考文献No.900252
标题:
作者:Santilli, A.A.; et al.
来源:US 3940394
合成路线图解说明:

The reaction of 2-thiobarbituric acid (I) with ethyl bromoacetate (II) by means of NaHCO3 in ethanol - water gives ethyl-(4,6-dihydroxy-2-pyrimidinylthio)acetate (III), which by halogenation with POCl3 and N,N-diethylaniline yields ethyl (4,6-dichloro-2-pyrimidinylthio)acetate (IV). The condensation of (IV) with 2,3-dimethylaniline (V) by means of Na2CO3 in refluxing ethanol affords ethyl [4-chloro-6-(2,3-xylidino)-2-pyrimidinylthio]acetate (VI), which is finally hydrolyzed with Na2CO3 in refluxing ethanol. Description.- Crystals, m.p. 146-51 C; Na salt, m.p. 183 C (decomp.).

参考文献No.900253
标题:
作者:Santilli, A.A.; et al. (American Home Products Corp.)
来源:CA 967571; DE 2314160; FR 2182917; GB 1413892; US 3814761; US 3876789; US 3896129; ZA 7301526
合成路线图解说明:

The reaction of 2-thiobarbituric acid (I) with ethyl bromoacetate (II) by means of NaHCO3 in ethanol - water gives ethyl-(4,6-dihydroxy-2-pyrimidinylthio)acetate (III), which by halogenation with POCl3 and N,N-diethylaniline yields ethyl (4,6-dichloro-2-pyrimidinylthio)acetate (IV). The condensation of (IV) with 2,3-dimethylaniline (V) by means of Na2CO3 in refluxing ethanol affords ethyl [4-chloro-6-(2,3-xylidino)-2-pyrimidinylthio]acetate (VI), which is finally hydrolyzed with Na2CO3 in refluxing ethanol. Description.- Crystals, m.p. 146-51 C; Na salt, m.p. 183 C (decomp.).

Drug Information Express,Drug R&D,Chemical Database,Patent Search.
Copyright © 2006-2026 Drug Future. All rights reserved.Contact Us