【药物名称】
化学结构式(Chemical Structure):
参考文献No.633500
标题:Synthesis, antitumor cytotoxicity, and DNA-binding of novel N-5,2-Di(omega-aminoalkyl)-2,6-dihydropyrazolo[3,4,5-kl) acridine-5-carboxamides
作者:Antonini, I.; Polucci, P.; Magnano, A.; Martelli, S.
来源:J Med Chem 2001,44(20),3329
合成路线图解说明:

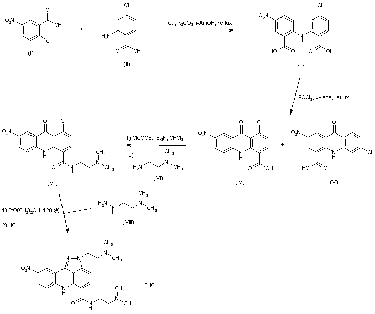
The Ullmann condensation between 2-chloro-5-nitrobenzoic acid (I) and 2-amino-4-chlorobenzoic acid (II) afforded the diaryl amine (III). Cyclization of (III) by treatment with POCl3 in refluxing xylene yielded a mixture of the desired acridine (IV) and minor amounts of its regioisomer (V). The isomeric mixture of acids (IV) and (V) was activated as the respective mixed anhydrides with ethyl chloroformate and subsequently condensed with N,N-dimethylethylenediamine (VI) to produce the corresponding amides. The required isomer (VII) was easily isolated from the mixture owing to its insolubility in the reaction solvent. Finally, the title pyrazoloacridine compound was prepared by condensation of (VII) with 2-(dimethylamino)ethyl hydrazine in 2-ethoxyethanol at 120 C.

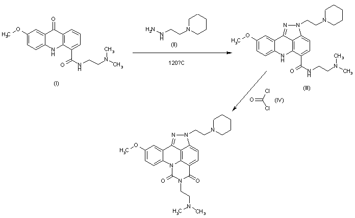
合成路线图解说明:

The cyclization of the acridinonecarboxamide (I) with N-[2-(1-piperidinyl)ethyl]hydrazine (II) in 2-ethoxyethanol at 120 C gives the pyrazoloacridine (III) (1), which is cyclized with phosgene (IV) in chloroform at room temperature to afford the target pentacyclic compound.

参考文献No.650872
标题:2,6-Di(omega-aminoalkyl)-2,5,6,7-tetrahydopyrazolo[3,4,5-mn]pyrimido[5,6,1-de]acridine-5,7-diones: Novel, potent, cytotoxic, and DNA-binding agents
作者:Antonini, I.; Polucci, P.; Magnano, A.; Gatto, B.; Palumbo, M.; Menta, E.; Pescalli, N.; Martelli, S.
来源:J Med Chem 2002,45(3),696
合成路线图解说明:

The cyclization of the acridinonecarboxamide (I) with N-[2-(1-piperidinyl)ethyl]hydrazine (II) in 2-ethoxyethanol at 120 C gives the pyrazoloacridine (III) (1), which is cyclized with phosgene (IV) in chloroform at room temperature to afford the target pentacyclic compound.

Drug Information Express,Drug R&D,Chemical Database,Patent Search.
Copyright © 2006-2026 Drug Future. All rights reserved.Contact Us